Ответы
Ответ дал:
0
Ответ:
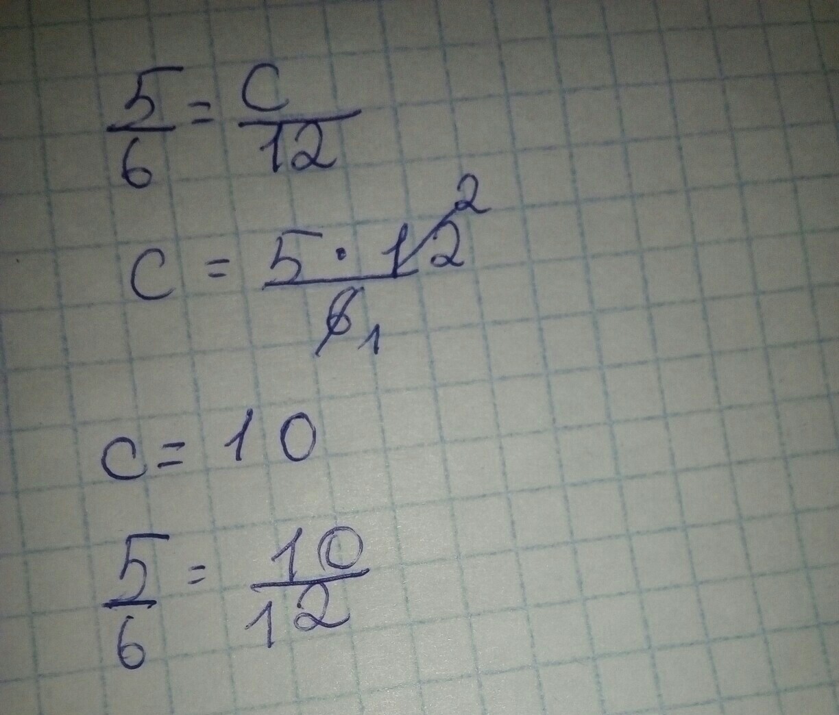
С=10
Пошаговое объяснение:
5/6=С/12
5*12=6*С
(5*12)/6=С
С= 5*2
С=10
Ответ дал:
0
вотттттт надеюсь пропорцию правильно записала
Приложения:

Вас заинтересует
2 года назад
2 года назад
3 года назад
3 года назад
9 лет назад