Ответы
Ответ дал:
0
Ответ:
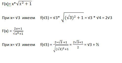
205(1) ответ 2√3
206 (3) ответ √3 + 1/2
Пошаговое объяснение:
в прикрепленном файле
Приложения:

Вас заинтересует
3 года назад
3 года назад
9 лет назад
9 лет назад
9 лет назад
9 лет назад