• Предмет: Алгебра
  • Автор: D3n1s812
  • Вопрос задан 8 лет назад

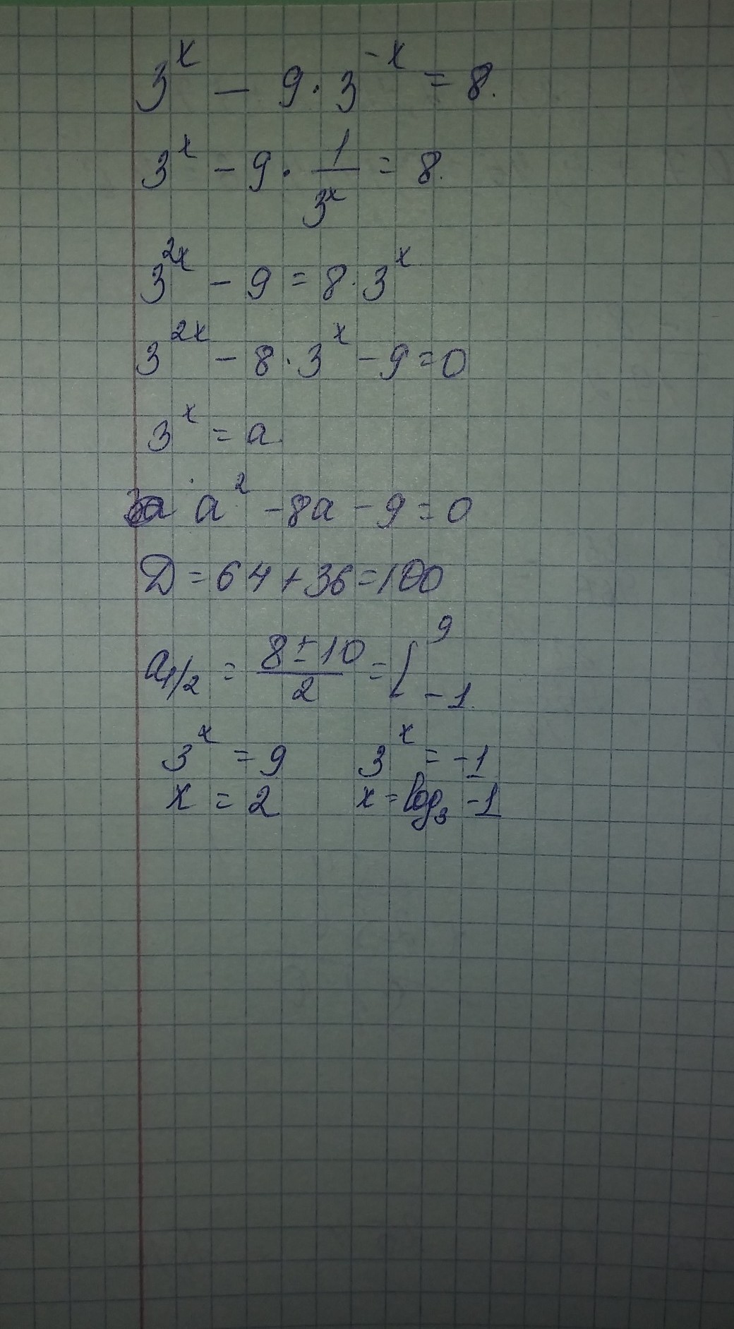
3^x-9*3^-x=8

Help me !

Ответы

Ответ дал: saltony94
0
5895655786568755688679568
Приложения:
Вас заинтересует