• Предмет: Алгебра
  • Автор: maksatahmet55
  • Вопрос задан 8 лет назад

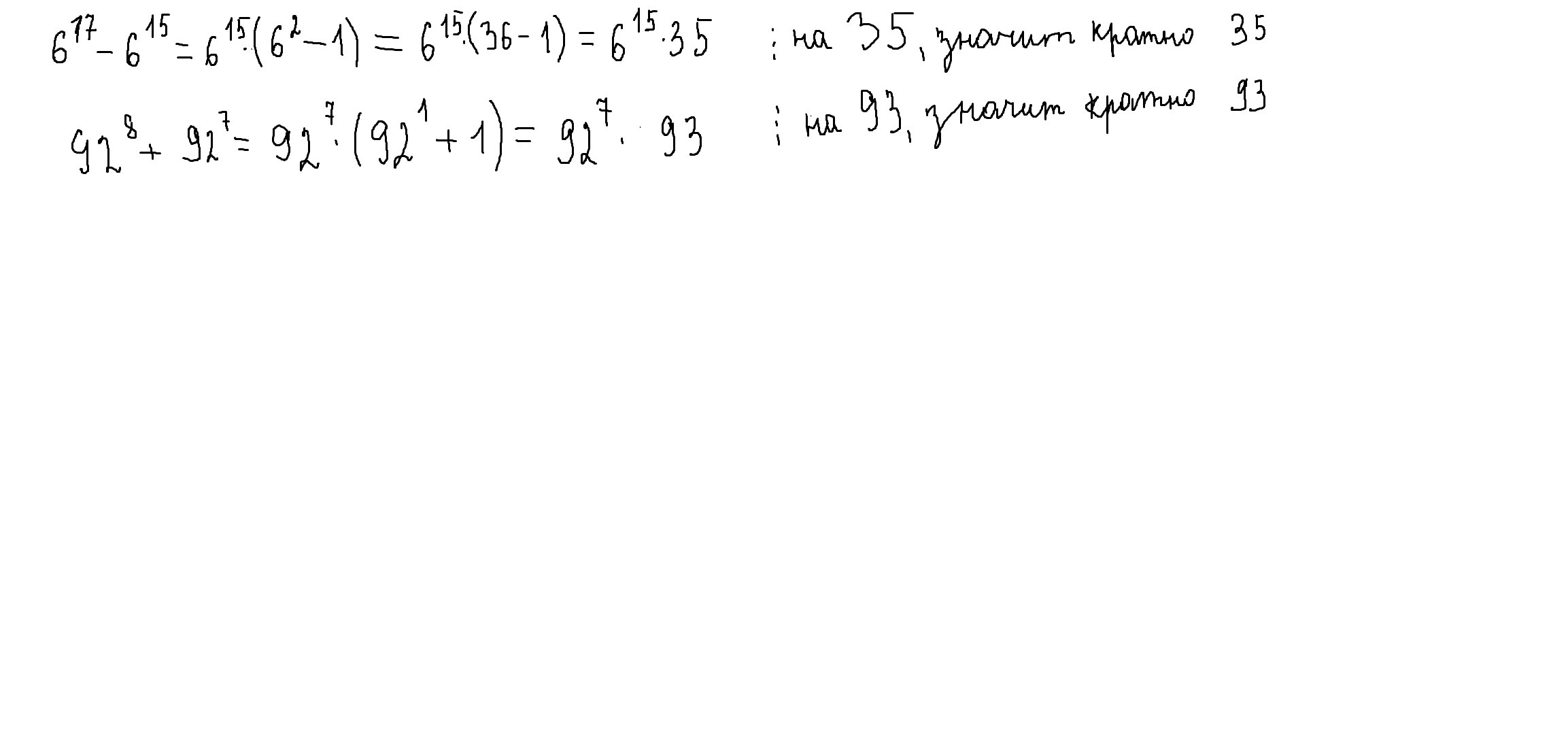
6^17-6^15 кратно 35
92^8+92^7 кратно 93

Ответы

Ответ дал: parus77
0

при решении получается произведение,одним из множителей которого является число 35.,значит 6¹⁷-6¹⁵ кратно 35

при решении получается произведение,одним из множителей которого является число 93.,значит 92⁸+92⁷ кратно 93

Приложения:
Ответ дал: maksatahmet55
0
блин не могу понять на эту тему
Ответ дал: maksatahmet55
0
спасибо благодарю
Ответ дал: parus77
0
что,так и не понятно?
Ответ дал: maksatahmet55
0
понятно но тему не понимаю
Вас заинтересует