Даю 35 баллов, срочно!!!
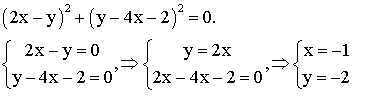
#1. Найдите такие значения х и у , для которых справвежливо равенство (2х-у)^2+(у-4х-2)^2=0. В ответе укажите значение произведения ху.
#2. На сколько частей можно разбить координатную плоскость прямыми у=0; у=ах+b; y=cx+d и осью ординат, если а,b,c,d -любые числа? В ответе укажите наибольшее количество частей
Ответы
Ответ дал:
0
Ответ:
#1 x=-1 y=-2
#2 11
Пошаговое объяснение:
#2 Если 4 прямых расположены так, что ни одна не параллельна другой, и в каждой точке пересекается только 2, а не 3 и не 4 прямых, то они делят плоскость на 2+2+3+4=11 частей.
#1
Приложения:

Вас заинтересует
3 года назад
9 лет назад