• Предмет: Алгебра
  • Автор: Dимасuk
  • Вопрос задан 8 лет назад

Решите неравенство (оно несложное, но я что-то туплю):
sqrt{x+ 2} - sqrt{3x - 1}   textgreater   sqrt{x - 1 }

Ответы

Ответ дал: NeZeRAvix
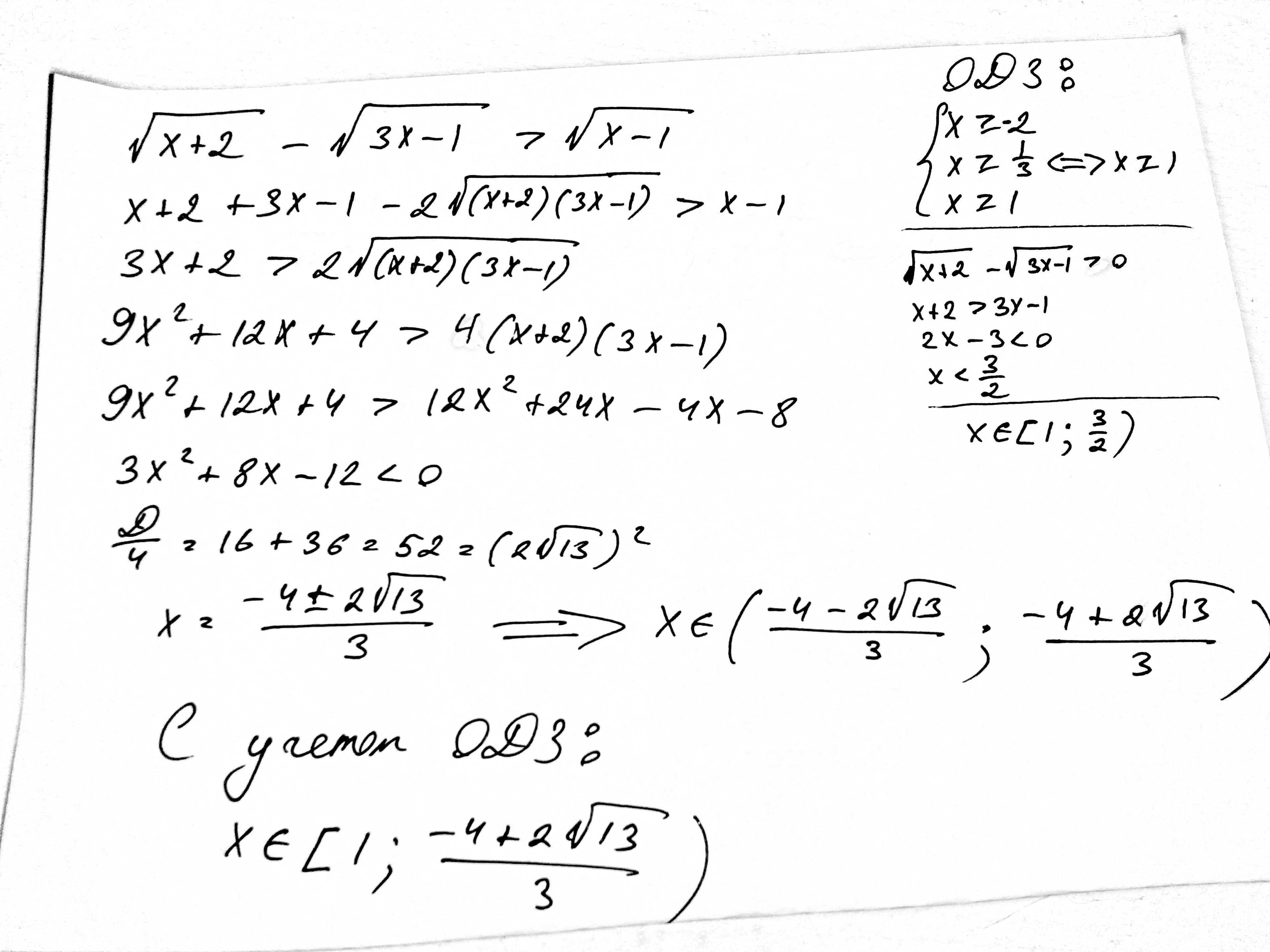
0

Решение в скане......

Приложения:
Ответ дал: NNNLLL54
0

sqrt{x+2}-sqrt{3x-1}>sqrt{x-1}\\ODZ:; ; left { {{xgeq -2; ,; xgeq 1/3} atop {xgeq 1}} right. ; ; to ; ; xgeq 1\\underbrace {sqrt{x+2}}_{geq 0}>underbrace {sqrt{x-1}+sqrt{3x-1}}_{geq 0}\\x+2>(x-1)+2cdot sqrt{x-1}cdot sqrt{3x-1}+(3x-1)\\x+2>4x-2+2cdot sqrt{(x-1)(3x-1)}\\2cdot sqrt{(x-1)(3x-1)}<-3x+4\\4(x-1)(3x-1)<9x^2-24x+16\\4(3x^2-4x+1)<9x^2-24x+16\\3x^2+8x-12<0\\D/4=4^2+3cdot 12=52; ,; ; x_{1,2}=frac{-4pm sqrt{52}}{3}=frac{-4pm 2sqrt{13}}{3}

x_1=frac{-4-2sqrt{13}}{3}approx -3,74; ; ;; ; x_2=frac{-4+2sqrt{13}}{3}approx 1,07\\(x-frac{-4-2sqrt{13}}{3})(x-frac{-4+2sqrt{13}}{3})<0qquad Big [; (x+3,74)(x-1,07)<0; Big ]\\+++(-3,74)---(1,07)+++qquad Big [; xin (-3,74; ;; 1,07); Big ]\\xin Big (frac{-4-2sqrt{13}}{3}; ;; frac{-4+2sqrt{13}}{3}Big )\\left { {{xgeq 1} atop {xin left (frac{-4-2sqrt{13}}{3}}; ;; frac{-4+2sqrt{13}}{3}right )} right. ; ; Rightarrow ; ; ; xin Big [; 1; ;; frac{-4+2sqrt{13}}{3}Big )

Приложения:
Вас заинтересует