• Предмет: Алгебра
  • Автор: Аноним
  • Вопрос задан 8 лет назад

Элементарно, но что то затупила.
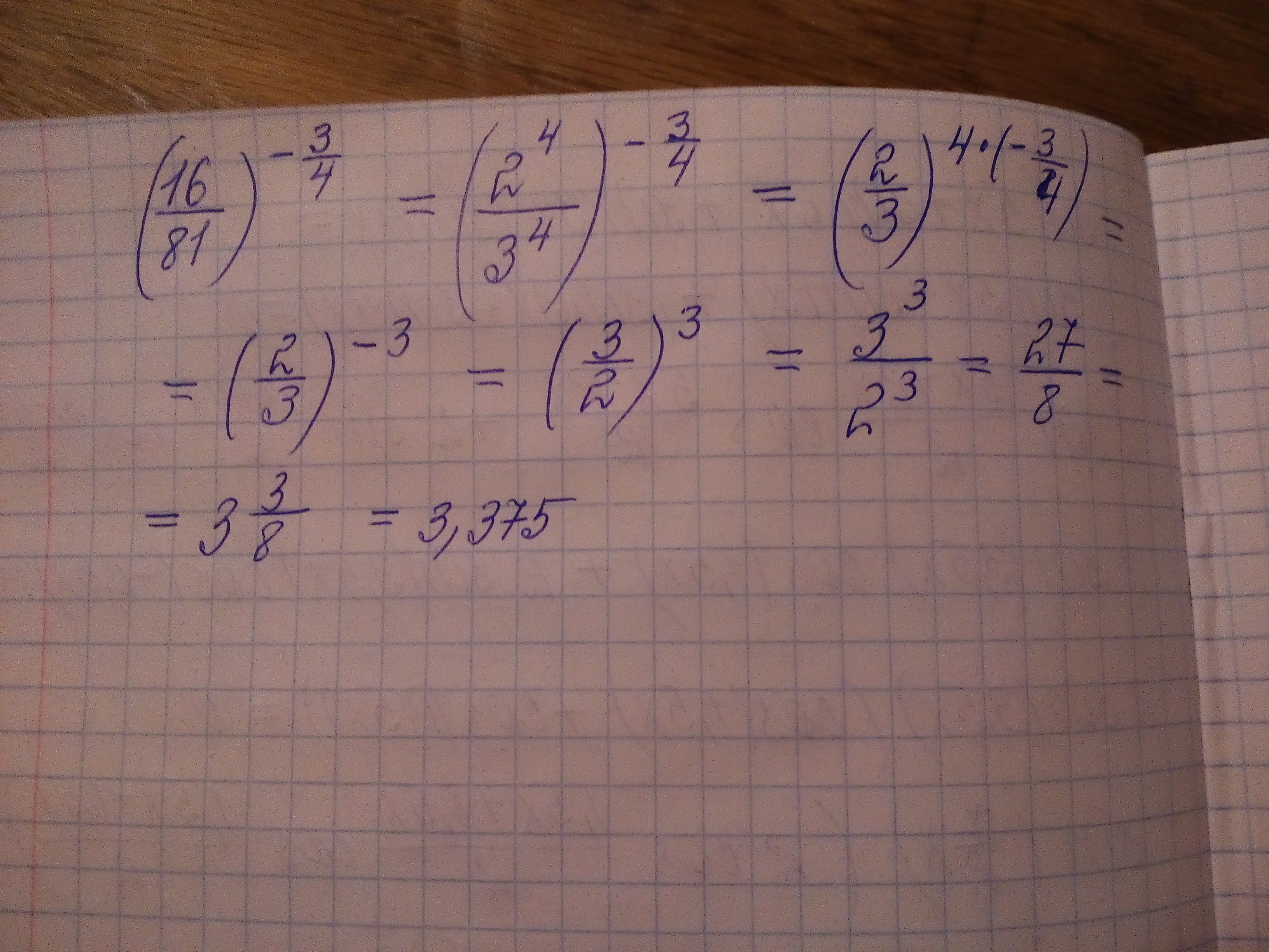
(16/81) в степени -3/4
сколько получится? и как вы это получили

Ответы

Ответ дал: m11m
0

!!!!!!!!!!!!!!!!!!!!!!!!!!!

Приложения:
Ответ дал: Indentuum
0

(frac{16}{81})^{-frac{3}{4}} = (frac{81}{16})^{frac{3}{4}} = Bigl(bigl(frac{3^4}{2^4}bigr)^{frac{1}{4}}Bigr)^{3} = (frac{3}{2})^3 = frac{27}{8} = 3.375

Приложения:
Вас заинтересует