Ответы
Ответ дал:
0
Смотри................
Приложения:

Ответ дал:
0
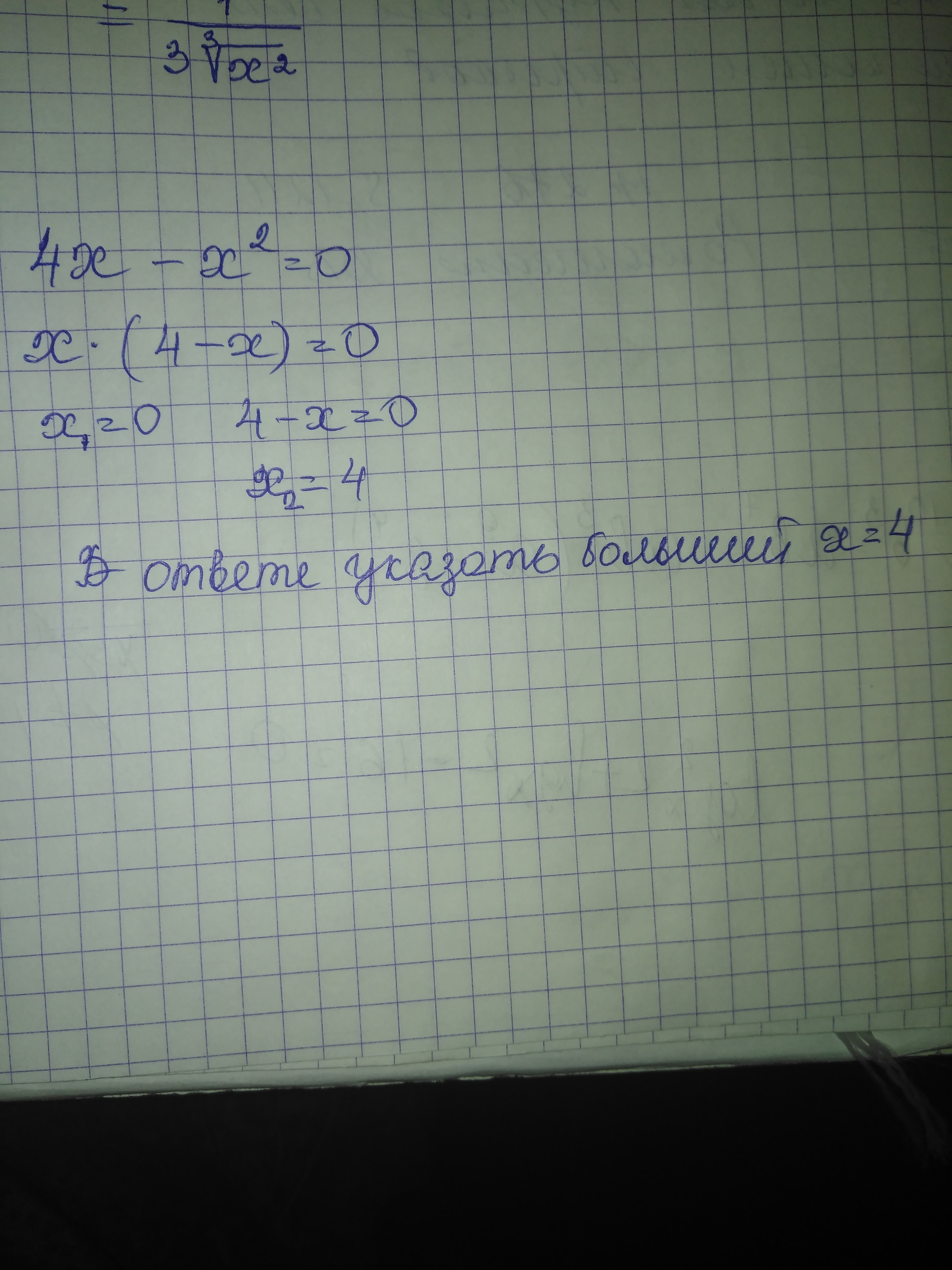
4x - x² = 0
x (4 - x) = 0
x1 = 0
4 -x = 0
x = 4
х = {0; 4}
больший х = 4
Приложения:

Вас заинтересует
2 года назад
3 года назад
3 года назад
9 лет назад
9 лет назад
9 лет назад