Ответы
Ответ дал:
0
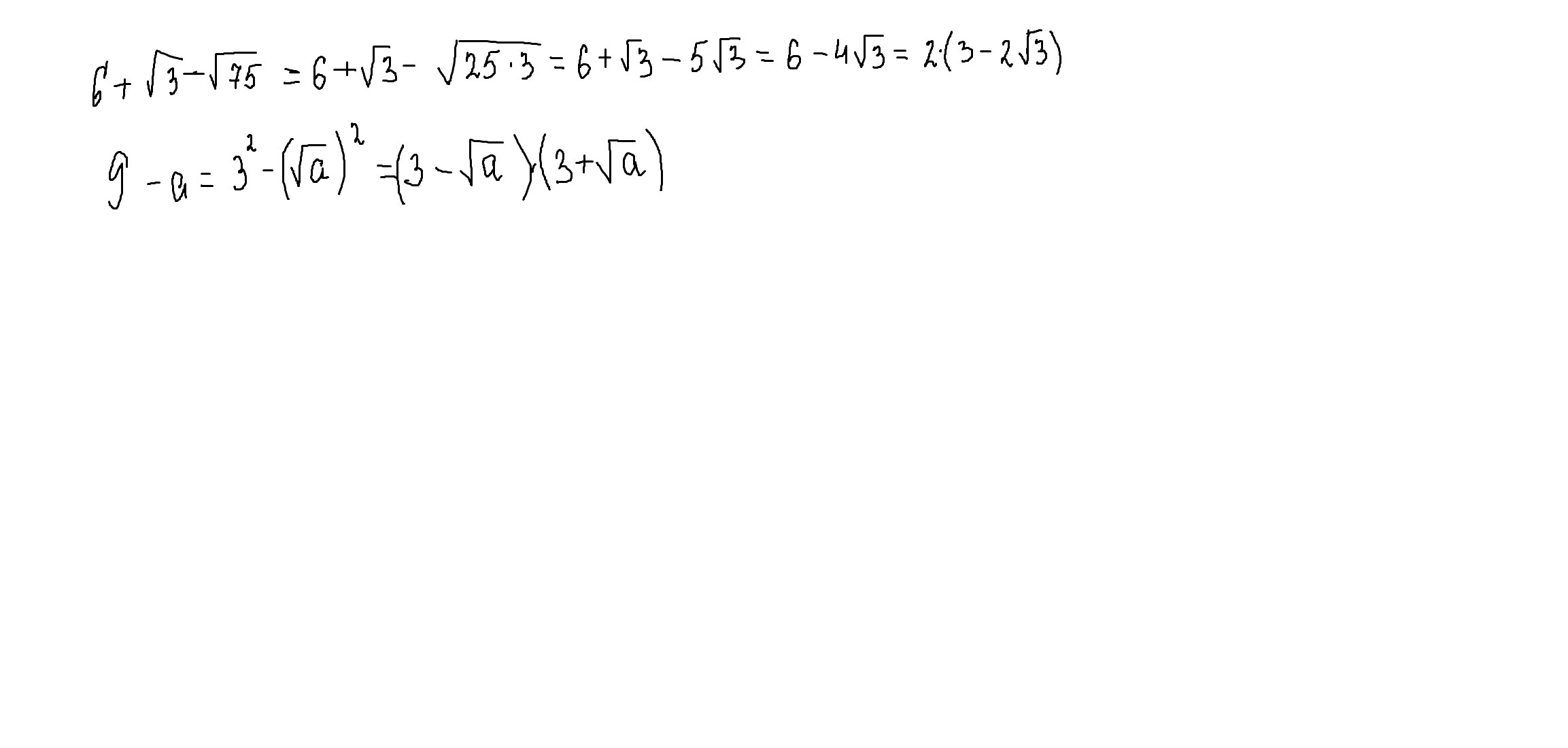
а) 6+√3-√7 = 6+√3-5√3 = 6- 4√3
б) 9-6-4√3 = 3-4√3
Ответ дал:
0
я смогла только так. посмотри внизу.
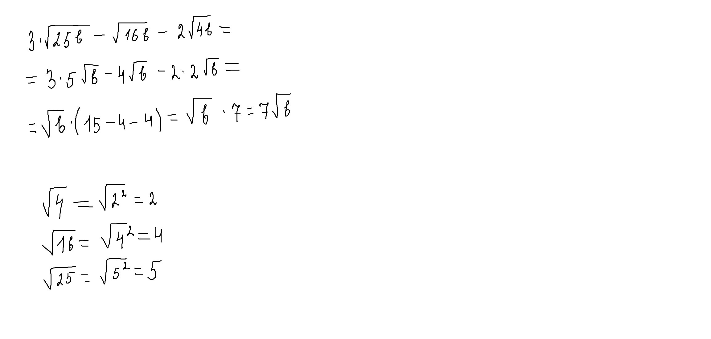
Приложения:


Вас заинтересует
2 года назад
3 года назад
9 лет назад
9 лет назад