• Предмет: Математика
  • Автор: Аноним
  • Вопрос задан 11 лет назад

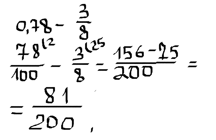
Выполните действия: 0,78- 3/8 Помогите,объясните,на уроке проспала)

Ответы

Ответ дал: Просветляющий
0
Во-первых тебе что бы посчитать нужно число 0.78 представить в виде дроби, как и 3/8. Ты смотришь сколько у тебя чисел после запятой, у тебя 2 числа это 7 и 8.Значит это разряд сотен. И записываешь дробь в таком виде 78/100,  И считаешь.
Приложения:
Вас заинтересует