• Предмет: Математика
  • Автор: Kei4an
  • Вопрос задан 8 лет назад

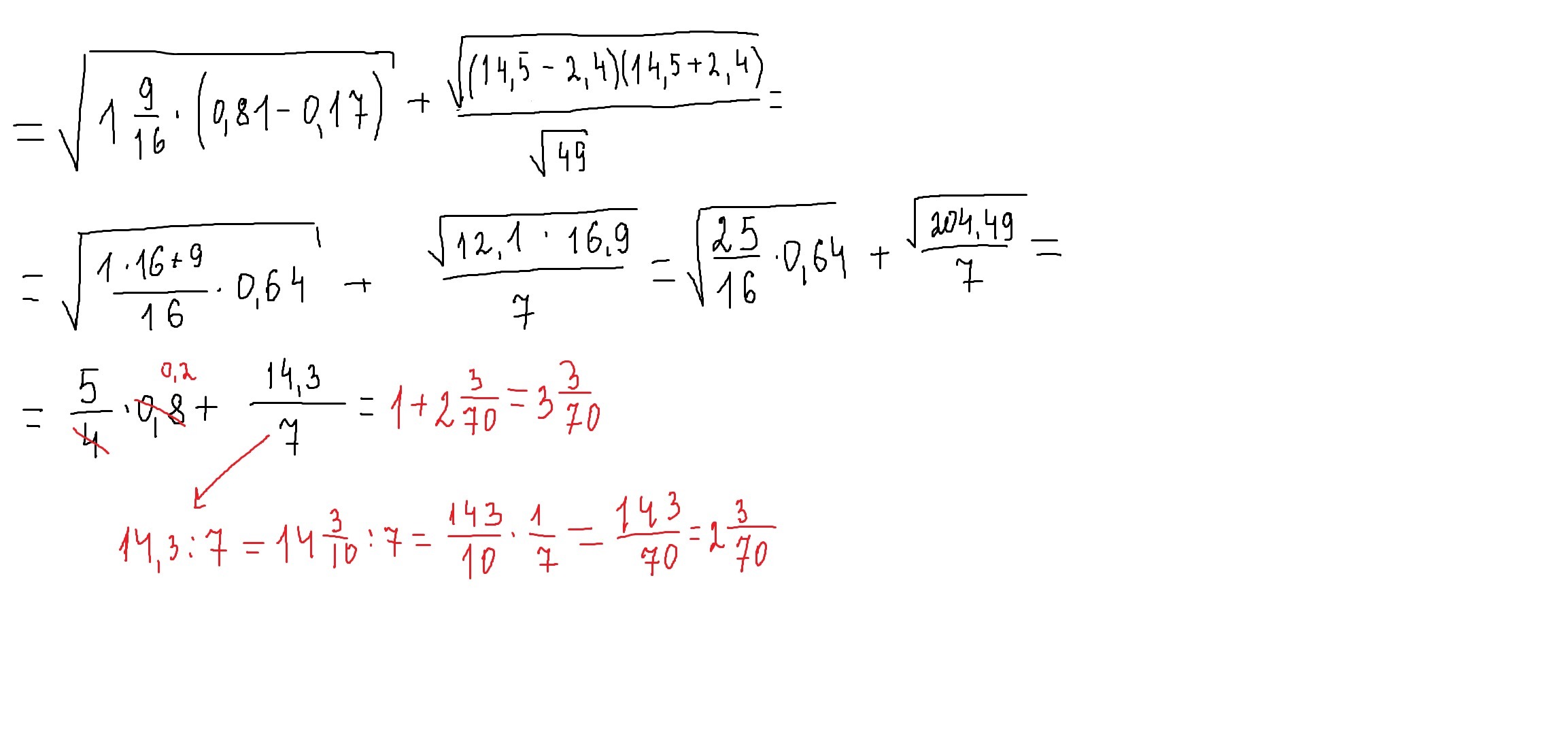
Вариант 1. Пример №1
С подробным решением

Приложения:

Ответы

Ответ дал: parus77
0

Ответ:решение смотри внизу.




Приложения:
Вас заинтересует