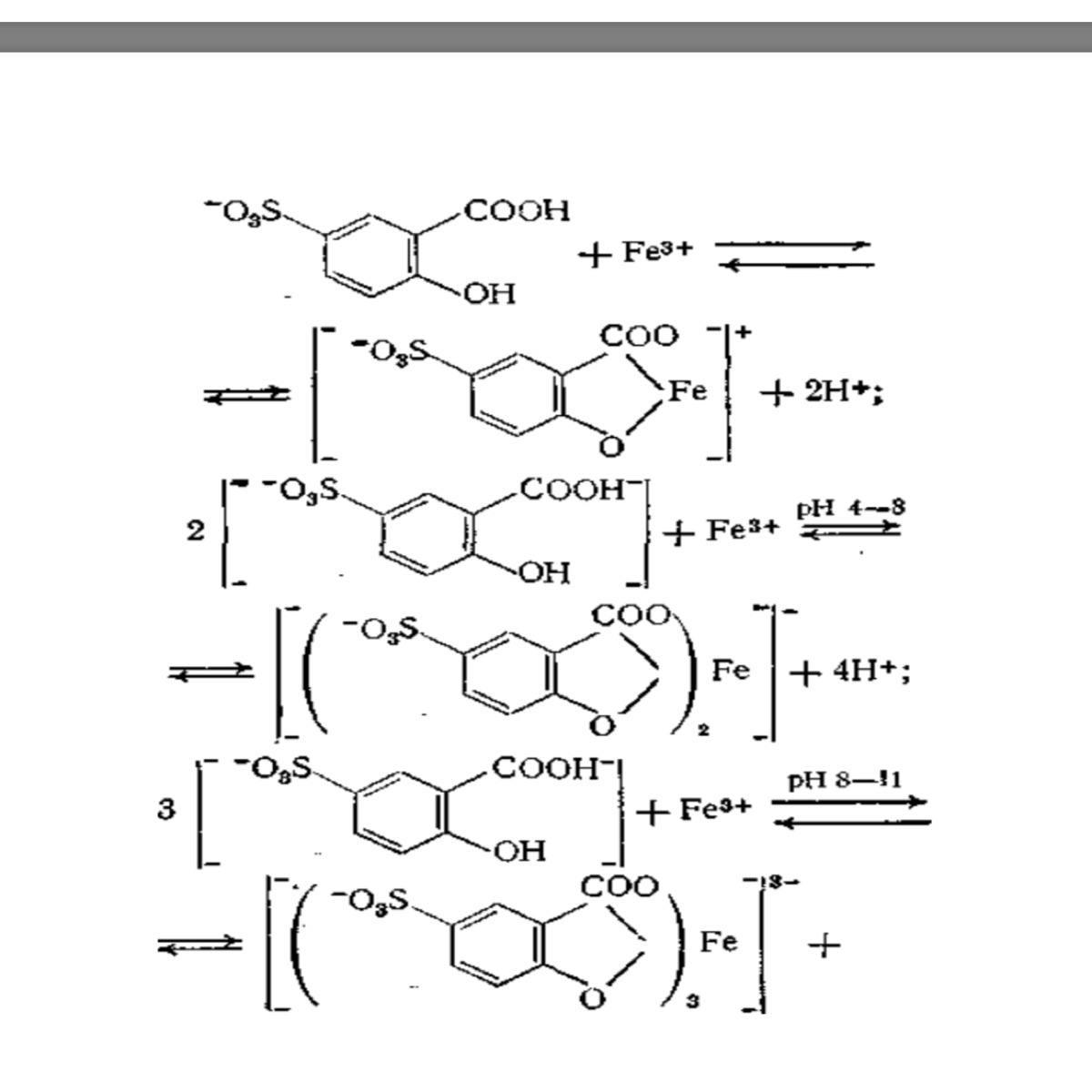
Лабораторная : определение железа с сульфосалициловой кислотой :
Нужно расписать 2 формулы :
FE+3 + C7H6O6S =X (?)
И вторая ,к Х(?) Прибавить раствор аммиака :
Х(?)+NH4OH=? Помогите пожалуйста
Ответы
Ответ дал:
0
......:........….................
Приложения:

Вас заинтересует
2 года назад
2 года назад
3 года назад
3 года назад
9 лет назад
9 лет назад