• Предмет: Математика
  • Автор: arina42511
  • Вопрос задан 8 лет назад

матем срочно??! помогите

Приложения:

Ответы

Ответ дал: Аноним
0
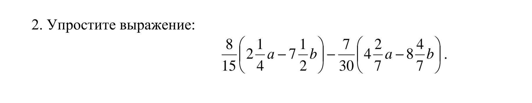
8/15(9/4а-15/2б)-7/30(30/7а-60/7б) = 8/15*9/4а-8/15*15/2б-7/30*30/7а+7/30*60/7б=3/5а-4б-а+2б =-2б-2/5а
Вас заинтересует