• Предмет: Биология
  • Автор: grbradugap2yx2d
  • Вопрос задан 8 лет назад

может ли у темноволосых родителей родиться блондин если темные волосы доминантный признак. Решите в виде задачи

Ответы

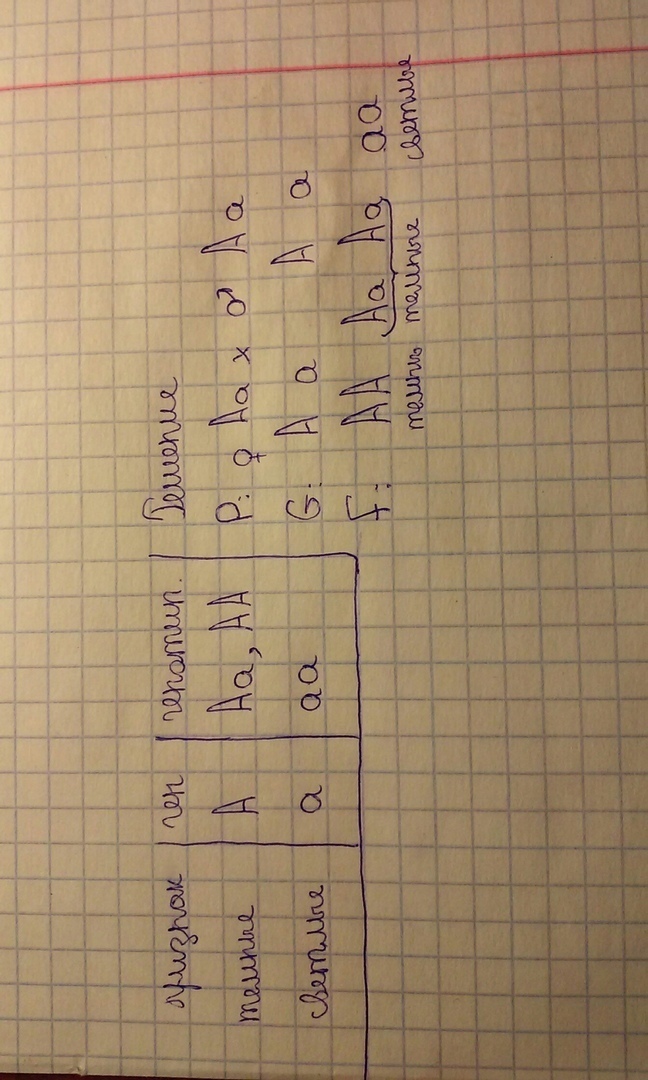
Ответ дал: Nedobiolog
0

Если родители каждого из родителей имели светлые волосы, то возможно, с 25% шансом.

Приложения:
Ответ дал: НастяL
0

Да, такое возможно

А- тёмный,  а- блондин

P : Аа(т) * Аа(Т)

Г: А  а    А   а

F:  АА(тёмн)  Аа(тем)  Аа(т)  аа(блондин)

Ответ : вероятность рождения блондина 1 к 4 или 25%

Приложения:
Вас заинтересует