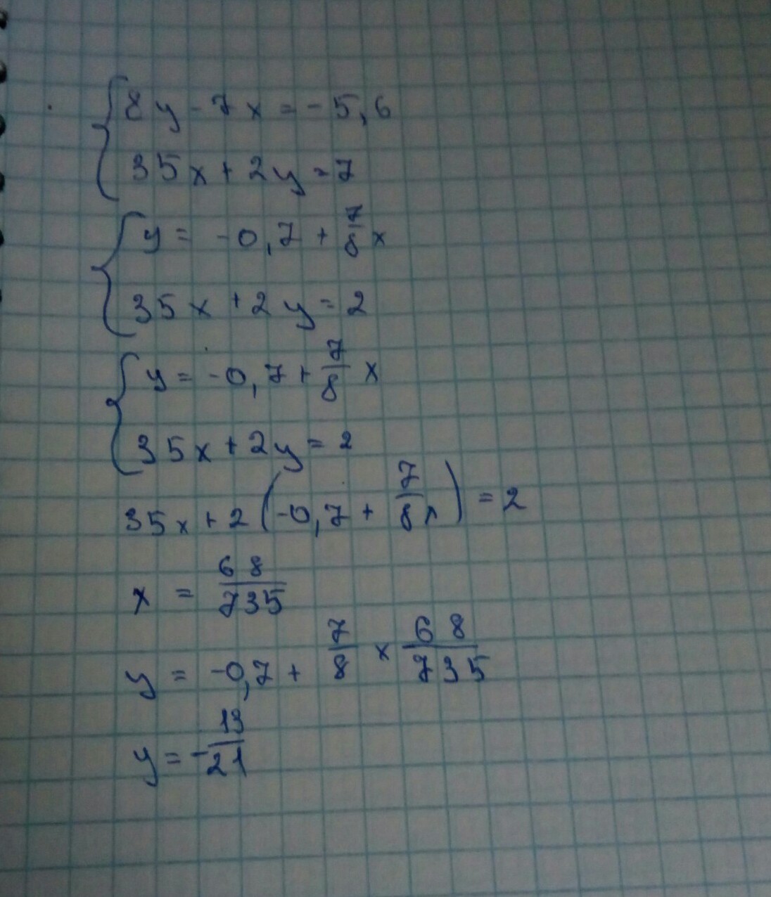
Найти значение выражения 7х нулевое +3у нулевое, если координаты точки А(х нулевое; у нулевое ) являются решением системы уравнений:
{8y-7x=-5,6
35x+2y=7
Ответы
Ответ дал:
0
................................
Приложения:

Вас заинтересует
2 года назад
3 года назад
9 лет назад