• Предмет: Математика
  • Автор: Alexandra537
  • Вопрос задан 8 лет назад

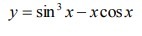
Найти производные dy/dx функции.

Приложения:

Ответы

Ответ дал: takushnir
0

Ответ:

Три синус в квадрате икс, умноженный на косинус икс, минус (косинус икс минус произведение икс на синус икс)

Пошаговое объяснение: синус куб икс сложная функция, поэтому находим производную от степенной, а потом от синуса, а второе выражение... это произведение линейной и тригонометрической функций, применяем правило нахождения  производной для произведения.

Вас заинтересует