• Предмет: Математика
  • Автор: NikaitA
  • Вопрос задан 8 лет назад

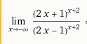
Помогите решить предел

Приложения:

Ответы

Ответ дал: NNNLLL54
0

limlimits _{x to infty}frac{(2x+1)^{x+2}}{(2x-1)^{x+2}}=limlimits _{x to infty}Big (1+frac{2}{2x-1}Big )^{x+1}=limlimits_{x to infty}Big (1+frac{2}{2x-1}Big )^{frac{2x-1}{2}cdot frac{2cdot (x+1)}{2x-1}}=\\=limlimits _{x to infty}Big (underbrace {Big (1+frac{2}{2x-1}Big )^{frac{2x-1}{2}}}_{to e}Big )^{frac{2x+2}{2x-1}}=e^{limlimits _{x to infty}frac{2x+2}{2x-1}}=e^1=e

Вас заинтересует