• Предмет: Математика
  • Автор: NikaitA
  • Вопрос задан 8 лет назад

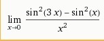
помогите решить предел

Приложения:

Ответы

Ответ дал: takushnir
0

Ответ:

8

Пошаговое объяснение

Разложим на множители числитель, как разность квадратов и применим формулы разности синусов и суммы синусов, а т.к. икс бесконечно малая величина, то после приведения  полученного  произведения , воспользовавшись формулой двойного агрумента для синуса можем заменить синус двух икс на на два икс, а синус четырех икс на четыре икс, после сокращения получаем 8.

Вас заинтересует