• Предмет: Математика
  • Автор: good7733
  • Вопрос задан 8 лет назад

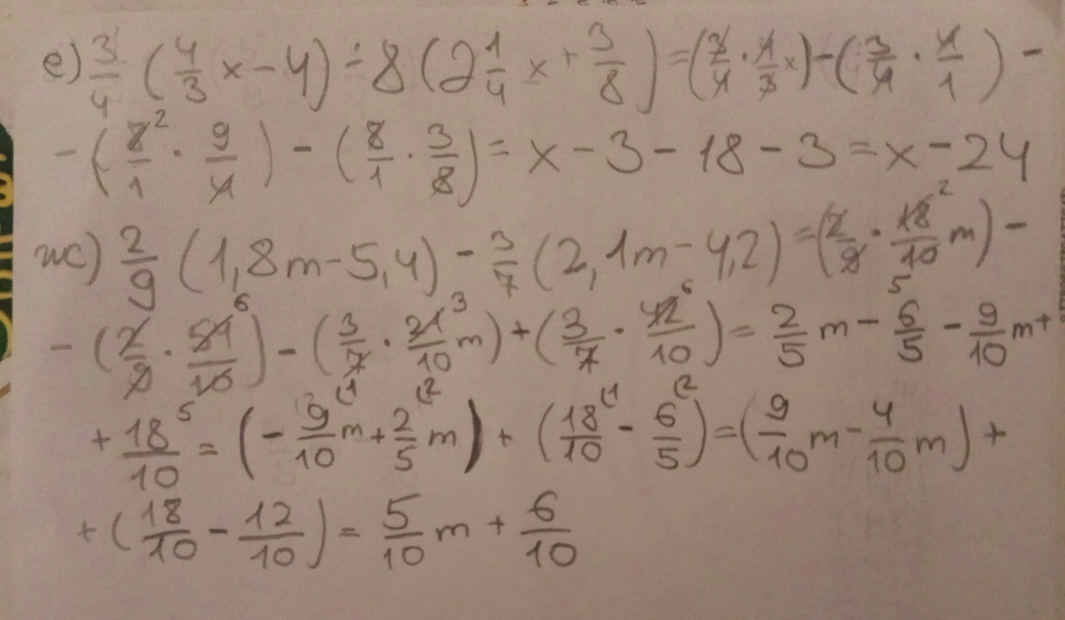
заранее спасибо огромгое

Приложения:

Ответы

Ответ дал: hripsimeasatryan
0

Ответ:a.4m-9  b.-5x-15+4x-8-12x-6=-13x-29   v.1,2x-1-0,8x+8=0,4x+7  g.0,6y+1,2-7,5+1,5y=2,1y-6,3    d.-13/72


Пошаговое объяснение:


Ответ дал: yutronchik264
0
/////////////////////////
Приложения:
Ответ дал: good7733
0
спасибо
Вас заинтересует