• Предмет: Математика
  • Автор: wadw97
  • Вопрос задан 8 лет назад

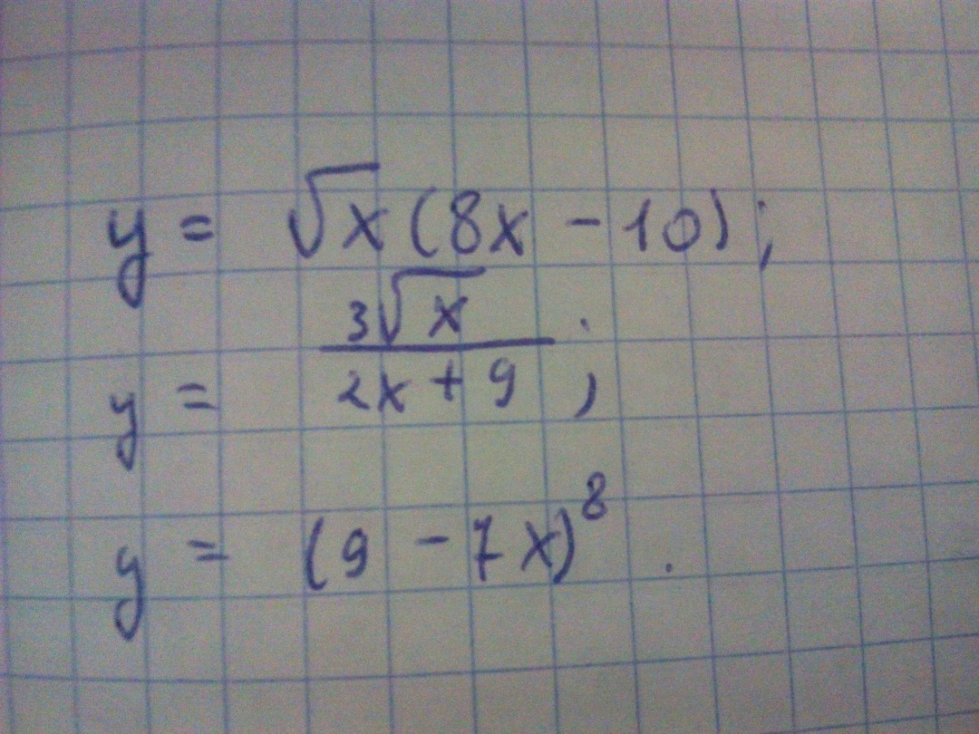
помогите найти производные данных функций

Приложения:

Ответы

Ответ дал: maximys223
0

Ответ:

y'=24x-10

Пошаговое объяснение:

y'=(8x-10/2√x)+8√x

y'=((6x+27)/2√x-6√x)/(2x+9)^2=(27-6x)/2√x(2x+9)^2

y'=-56(9-7x)^7

Ответ дал: wadw97
0
максим объясните пожалуйста поподробней
Ответ дал: maximys223
0
y'=((8x-10)/2√x)+8√x=(8x+16x-10)/2√x=(24x-10)/2√x=(12x-5)/√x
Ответ дал: maximys223
0
y'=((2x+9)*3/2√x-2*3√x)/(2x+9)^2=((6x+27-2*6x)/2√x)/(2x+9)^2=(27-6x)/2√x(2x+9)^2
Ответ дал: maximys223
0
y'=-7*8(9-7x)^7
Ответ дал: maximys223
0
надеюсь стало понятней
Вас заинтересует