при каких отрицательных значениях k прямая y=kx-1 имеет с параболой

единственную общую точку(точку касания)?
Ответы
Ответ дал:
0
.......................
к=-2
точка касания (-2;3)
к=-2
точка касания (-2;3)
Приложения:
Ответ дал:
0
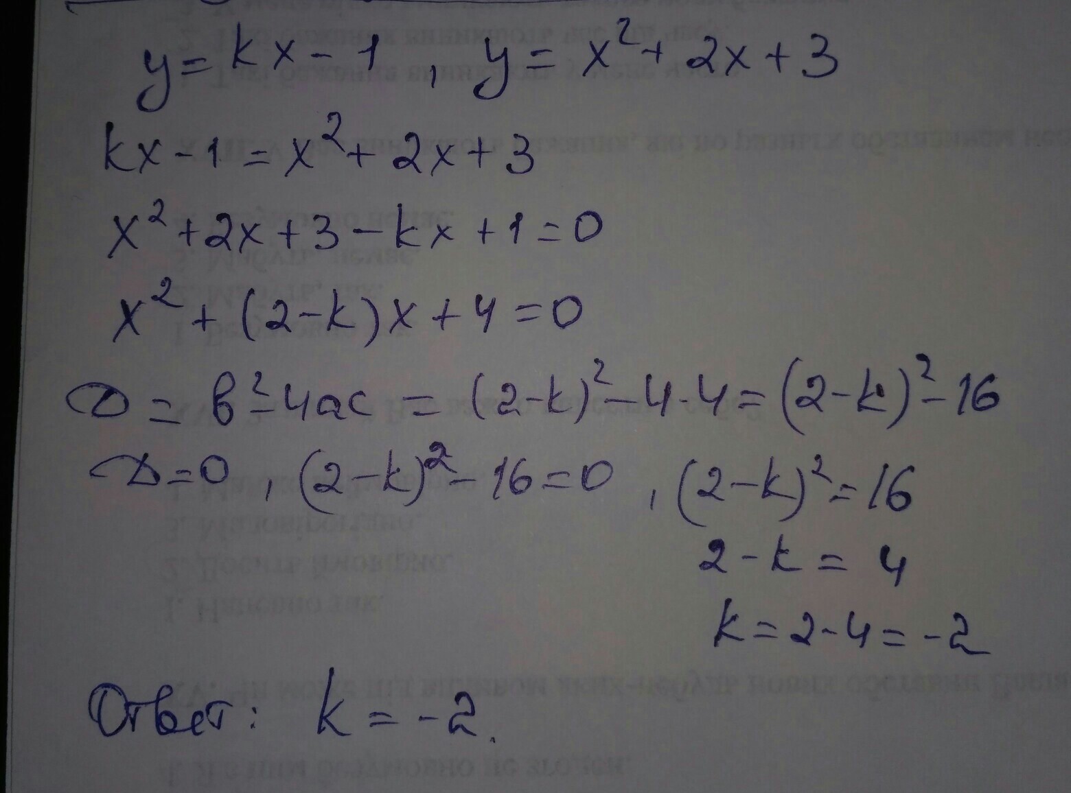
Найдём точку касания параболы и прямой, приравням правые части данных функций:


• Если D = 0 , то графики функций имеют одну общую точку
• Если D > 0 , то графики функций имеют две общие точки
• Если D < 0 , то графики функций не имеют общих точек.

☆ k = - 2 - отрицательное число ☆
ОТВЕТ: - 2
• Если D = 0 , то графики функций имеют одну общую точку
• Если D > 0 , то графики функций имеют две общие точки
• Если D < 0 , то графики функций не имеют общих точек.
☆ k = - 2 - отрицательное число ☆
ОТВЕТ: - 2
Приложения:
Вас заинтересует
2 года назад
2 года назад
3 года назад
9 лет назад