• Предмет: Математика
  • Автор: mskirenko
  • Вопрос задан 8 лет назад

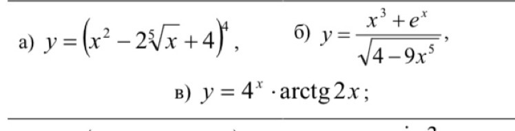
Найти производные сложных функций

Приложения:

Ответы

Ответ дал: feniks691
0
думаю раскрывать все скобки нет смысла , только ошибок наделать ...
Приложения:
Ответ дал: mskirenko
0
Спасибо большое
Вас заинтересует