• Предмет: Математика
  • Автор: froll1234p4j0ds
  • Вопрос задан 8 лет назад

а) (x+y)+(x-y)i=3-4i; б) z^2-6z+10=0
Помогите пожалуйста решить

Ответы

Ответ дал: SGreagn
0
в ответе можно записать что уравнение тетожественно не равно
Приложения:
Ответ дал: froll1234p4j0ds
0
скажи пожалуйста, б) как решать?
Ответ дал: SGreagn
0
обьяснять будет очень долго , по этому поищите в интернете "комплексные числа"
Ответ дал: Аноним
0

Ответ:


Пошаговое объяснение:

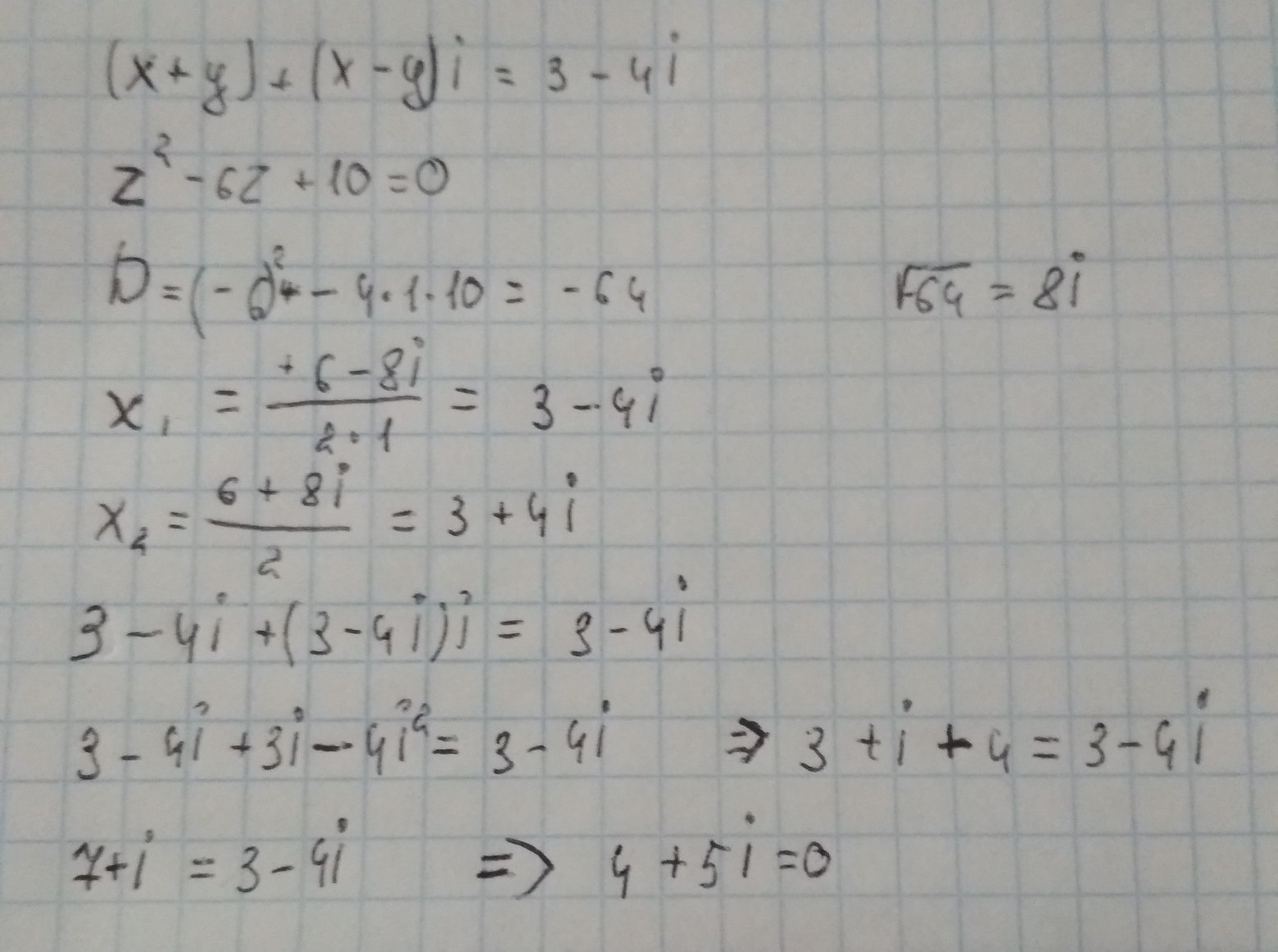
задание а)

здесь нужно использовать свойство комплексных чисел, что два числа равны тогда и только тогда, когда равны их действительные и мнимые части. приравняем их и получит систему двух уравнений с двумя неизвестными. решение на фото.

в задании б) при решении квадратного уравнения получается корень квадратный из отрицательного числа, из (- 4). это будет комплексное число 2i.

Приложения:
Ответ дал: froll1234p4j0ds
0
скажи пожалуйста, а верхний ответ от SGreagn то же правильный?
Ответ дал: Аноним
0
надеюсь, что правильный и я не накосячила с вычислениями. а ты проверь, реши сама на чистом листочке.
Вас заинтересует