• Предмет: Алгебра
  • Автор: acat777
  • Вопрос задан 8 лет назад

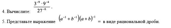
Помогите с алгеброй.СРОЧНО 45 баллов
тема Степень числа. 8 класс.

Приложения:

Ответы

Ответ дал: maksimcat
0

Ответ на фото///////////////

Приложения:
Ответ дал: Natalij19631402
0

Вот все ответы.  Надеюсь помогла

Приложения:
Вас заинтересует