• Предмет: Алгебра
  • Автор: ГолосИзШкафа
  • Вопрос задан 8 лет назад

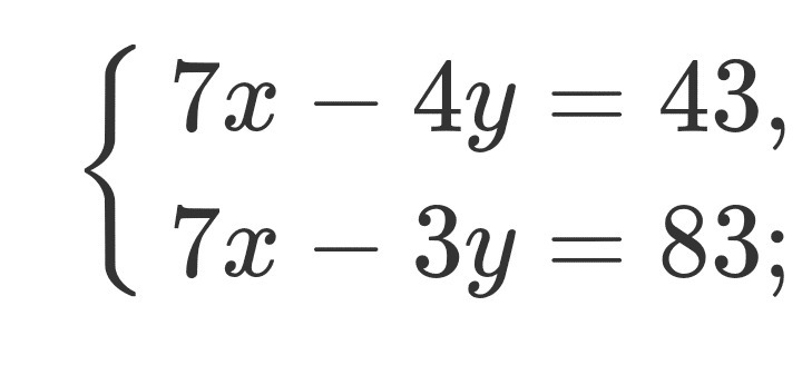
Пожалуйста, решите систему уравнения. Срочно!

Приложения:

Ответы

Ответ дал: getmorelandd
0

left{ {{7x-4y=43} atop {7x-3y=83}} right. \\left{ {{7x=43+4y} atop {43+4y-3y=83}} right. \\left{ {{7x=43+4y} atop {y=40} right. \\left{ {{7x=43+4*40} atop {y=40} right. \left{ {{7x=203} atop {y=40} right. \left{ {{x=203/7 atop {y=40} right. \\left{ {x=29} atop {y=40} right.

Вас заинтересует