ПРОШУ, СРОЧНО !!!! ПОМОГИТЕ (( пожалуйста
Можно просто ответ,если так удобно ...
НО ЛУЧШЕ полностью
Приложения:
Ответы
Ответ дал:
0
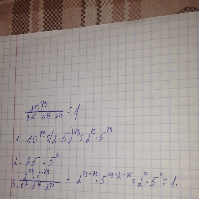
Если что, то
В скобочках это степень. Пример: 5(78) - 5 в семьдесят восьмой степени
/ - дробь
* - умножить
10(79)/25*5(76)*2(79)
1. 10(79) = 2(79)*5(79)
2. 25 = 5(2)
3. 2(79)*5(79)/5(2)*5(76)*2(79)
4. 2(79-79)*5(79-2-76)
5. 2(0)*5(0) = 1*1
6. 1
Ответ: 1
На всякий случай фото.
В скобочках это степень. Пример: 5(78) - 5 в семьдесят восьмой степени
/ - дробь
* - умножить
10(79)/25*5(76)*2(79)
1. 10(79) = 2(79)*5(79)
2. 25 = 5(2)
3. 2(79)*5(79)/5(2)*5(76)*2(79)
4. 2(79-79)*5(79-2-76)
5. 2(0)*5(0) = 1*1
6. 1
Ответ: 1
На всякий случай фото.
Приложения:
Вас заинтересует
2 года назад
3 года назад
3 года назад
9 лет назад
9 лет назад
10 лет назад
10 лет назад