Ответы
Ответ дал:
0
Ответ:
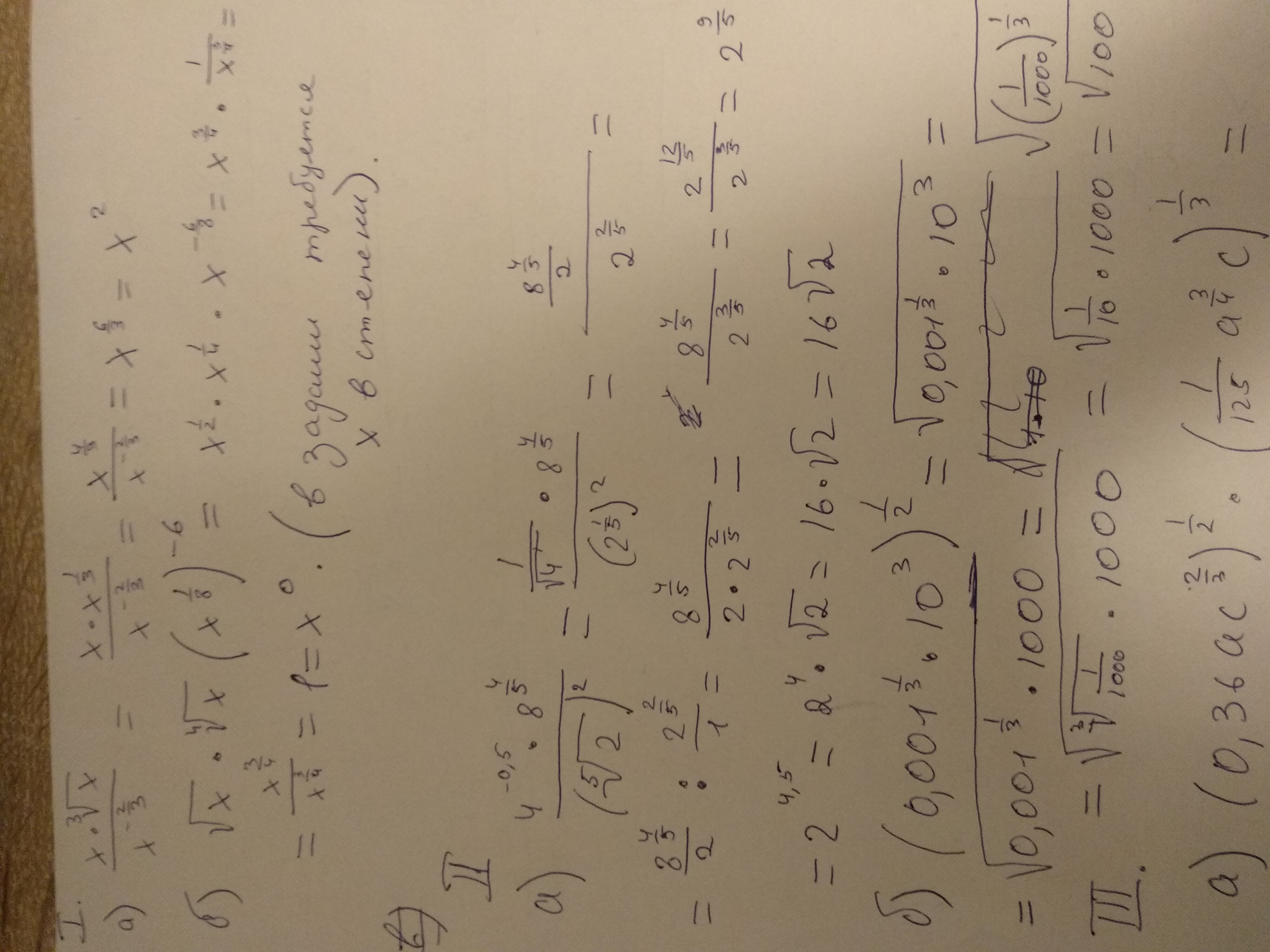
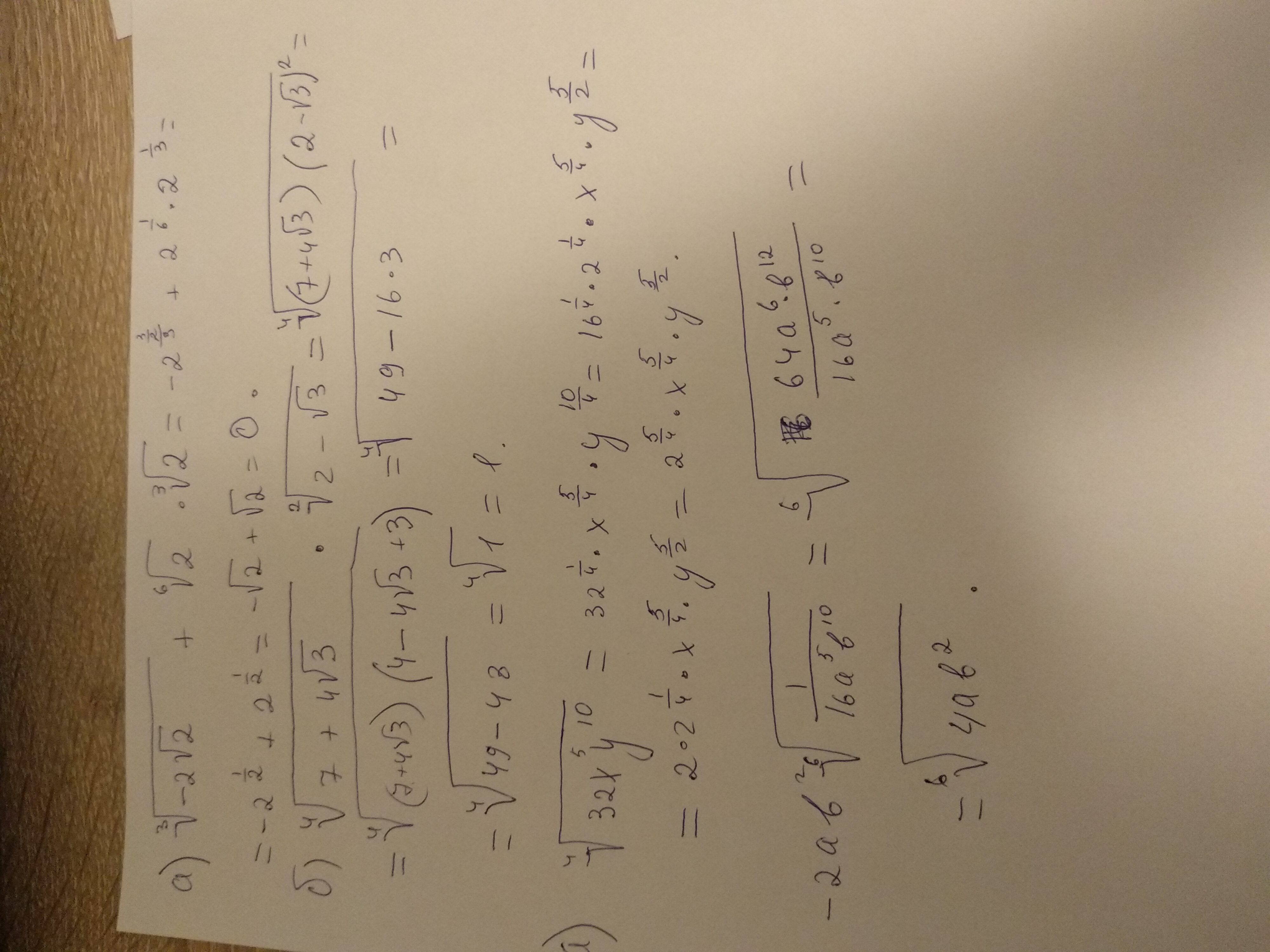
Пошаговое объяснение: Всё на картинках, там на 1 листочке в 3 задании в, с ошибкой в условие, я пересчитал соседний вариант, там всё складывается, так что в 1 варианте опечатка
Приложения:





Вас заинтересует
2 года назад
2 года назад
3 года назад
9 лет назад
9 лет назад
9 лет назад