• Предмет: Алгебра
  • Автор: al14sa09
  • Вопрос задан 8 лет назад

ПОМОГИТЕ НУЖЕН ТОЛЬКО ОТВЕТ!!!!!!!!!!!!!!!!!!!!!!

Приложения:

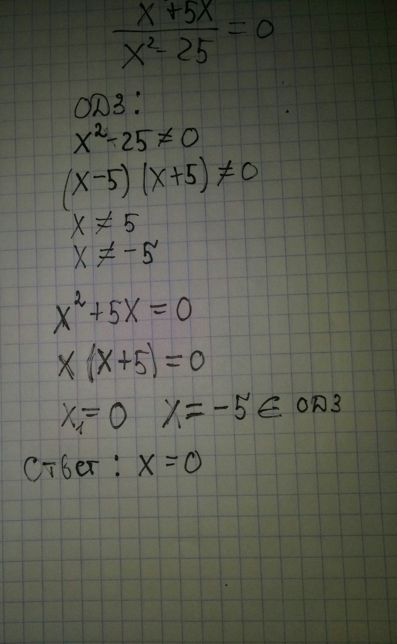
Ответы

Ответ дал: DKdoesntWearsPrada
0
......................
Приложения:
Вас заинтересует