Ответы
Ответ дал:
0
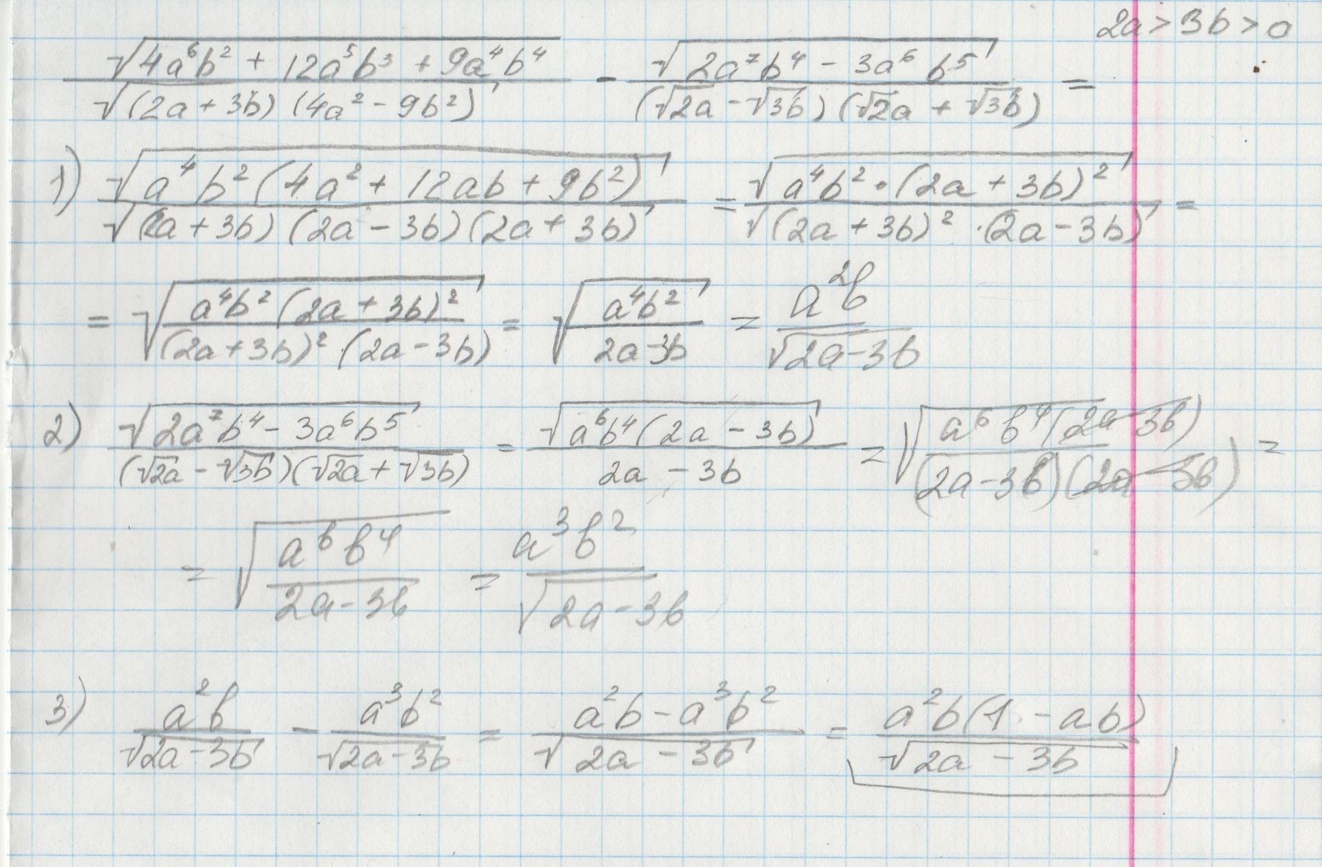
как-то так
1 действие это упрощение первой части выражения
2 действие упрощение второго
3 действие вычитание частей и ответ
Приложения:

Вас заинтересует
2 года назад
2 года назад
3 года назад
3 года назад
9 лет назад
9 лет назад