• Предмет: Математика
  • Автор: Diana88864646
  • Вопрос задан 8 лет назад

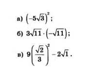
помогите вычислить ь

Приложения:

Ответы

Ответ дал: smithereensofmysoul
0

Ответ:

а) 75

б) -33

в) 0

Ответ дал: lenapanova
0

Ответ:


Пошаговое объяснение:


Приложения:
Вас заинтересует