• Предмет: Математика
  • Автор: melniknika2302
  • Вопрос задан 8 лет назад

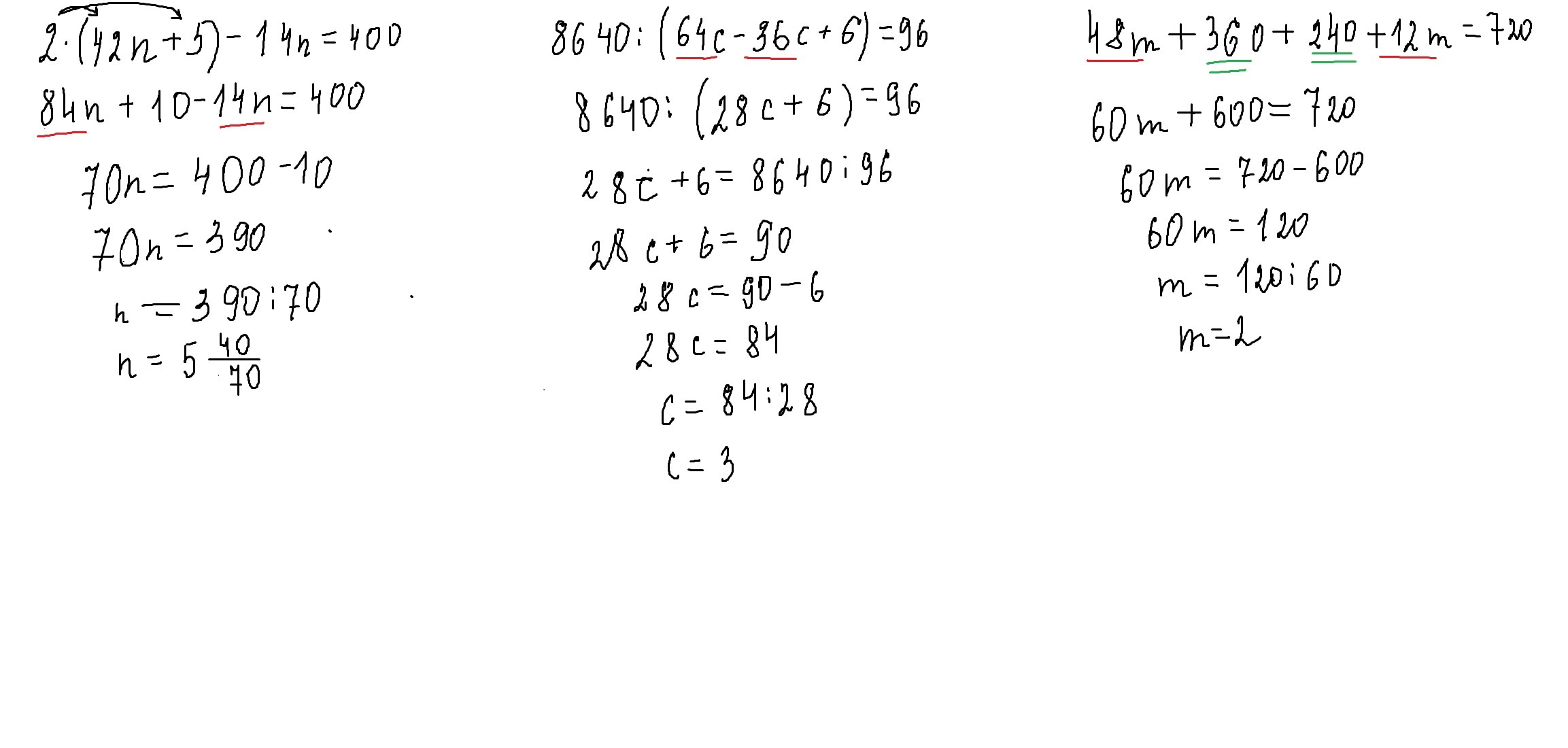
Вопрос такой, задали уравнение, но я уже забыла со своей школы как их делать. 2×(42n+5)-14n=400, второй пример такой 8640:(64c-36c+6) =96, третий 48m+360+240+12m=720

Ответы

Ответ дал: parus77
0

Ответ:

смотри решение внизу.

только мне не нравится ответ в 1 уравнении.проверьте условие,может где то опечатка.

Приложения:
Вас заинтересует