• Предмет: Математика
  • Автор: vardananasmik28
  • Вопрос задан 8 лет назад

ПОМОГИТЕ ПОЖАЛУЙСТА,, СРОЧНО!!
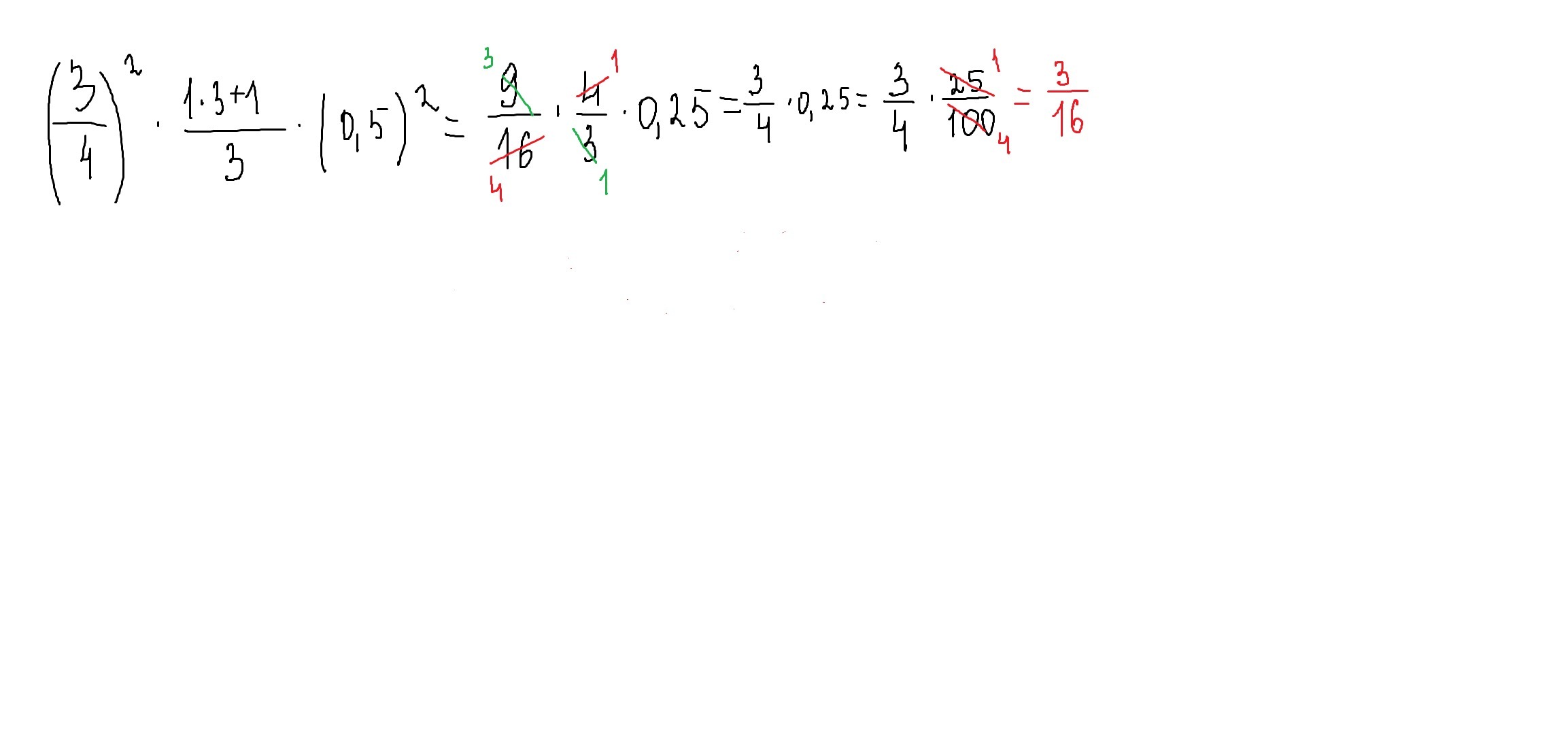
(3/4)²*1 1/3*(0.5)²

Ответы

Ответ дал: parus77
0

Ответ:решение смотри внизу




Приложения:
Вас заинтересует