• Предмет: Алгебра
  • Автор: mabamhelp
  • Вопрос задан 8 лет назад

помогите срочно алгебра 8 класс

Приложения:

Ответы

Ответ дал: tatnik12
0

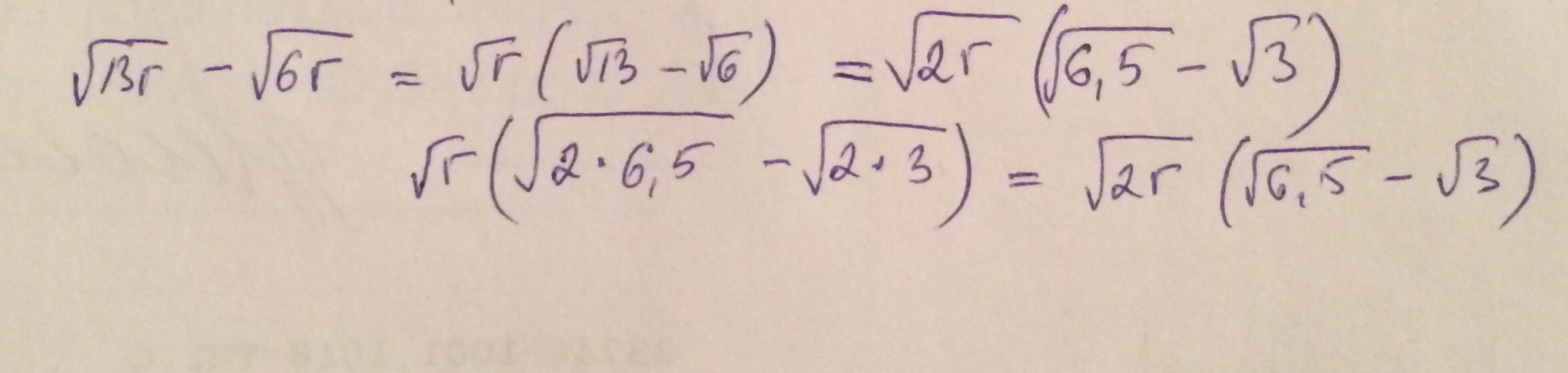
В 1 и 2 разность квадратов. В 3 выносим общий множитель. В самом последнем можно 13 записать как 6,5*2=13, тогда можно будет вынести за скобку 2r под корнем

Приложения:
Ответ дал: dDeVoChKa
0
Если Вам не сложно....Помогите мне тоже, пожалуйста...Задание легкое, но очень туплю:(( https://znanija.com/task/30813575
Вас заинтересует