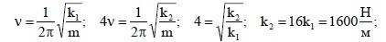
Допоможіть будь ласка... Вантаж підвішений на легкій пружині жорстікстю 100 Н/м, здійснює вільні гармонічні коливання. Якою має бути жорсткість пружини, щоб частота коливань цього ж вантажу збільшилася в 4 раза?
Ответы
Ответ дал:
0
без дано, але все .Сподіваюся допоможе
Приложения:

Ответ дал:
0
Дуже дякую
Ответ дал:
0
Не за що
Вас заинтересует
2 года назад
3 года назад
9 лет назад
9 лет назад