• Предмет: Математика
  • Автор: vikagorkina
  • Вопрос задан 8 лет назад

СРОЧНО ПОМОГИТЕ! Нужно решить эти примеры!!

Приложения:

Ответы

Ответ дал: Tsukikochan
0

Ответ:


Пошаговое объяснение:

1. х^2-3х+2-х^2=5

-3x=3

x=-1

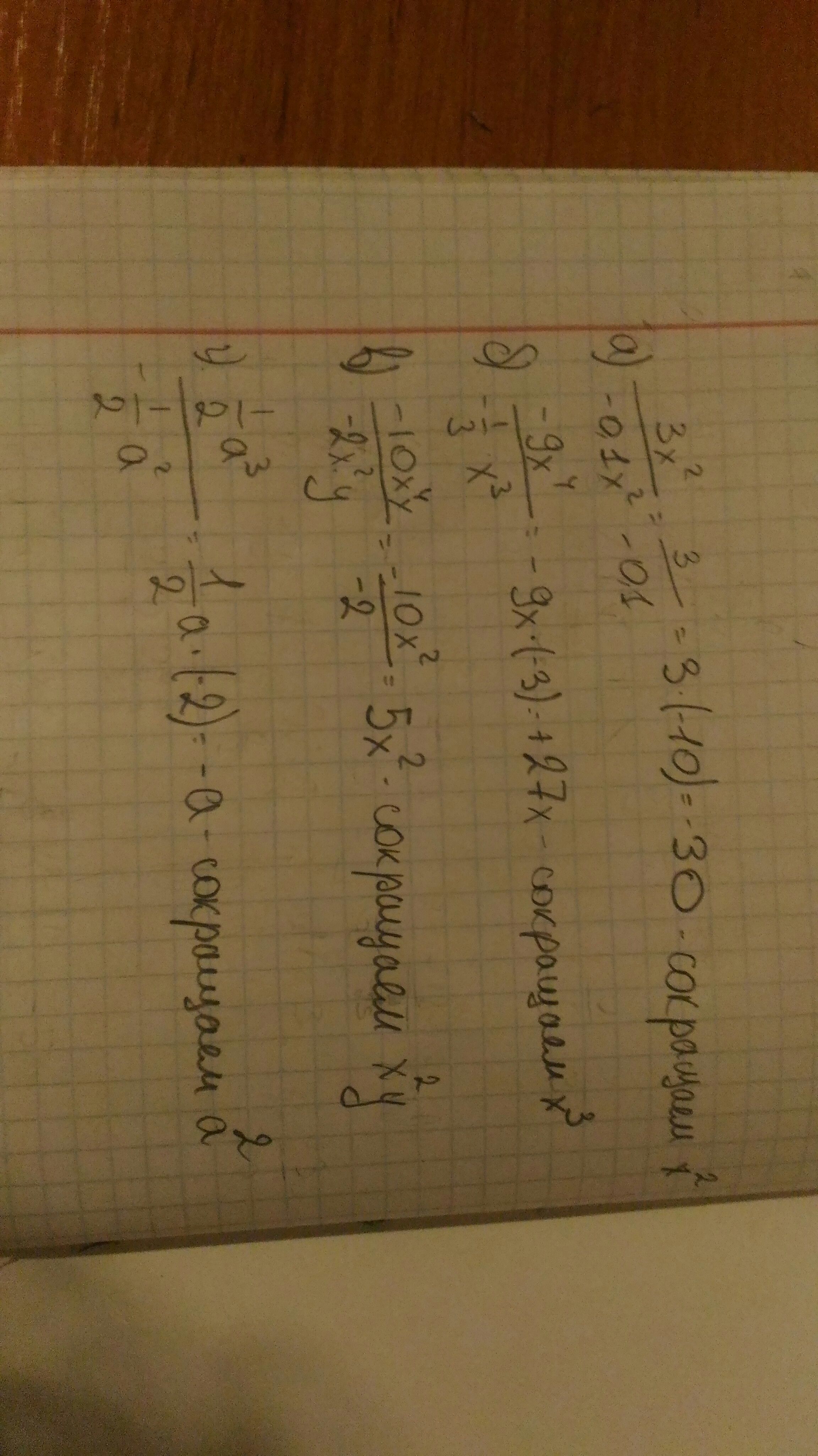
2.a)-30

Б)27X

В)5х^2

Г)-a

3.1)(2a-5b)/3b

2)(-12m^3+7)/(-4)


Приложения:
Ответ дал: vikagorkina
0
Пожалуйста, если вам не трудно, можете расписать подробнее решение?
Ответ дал: Tsukikochan
0
в каких именно расписать решение?
Ответ дал: vikagorkina
0
2 и 3 номер
Ответ дал: vikagorkina
0
Огромное спасибо!!
Вас заинтересует