Ответы
Ответ дал:
0
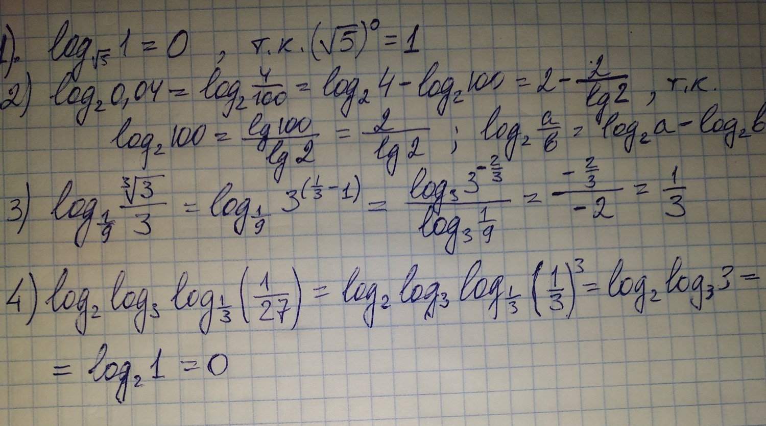
Всё очень просто. Эти долбаные 20 символов...
Приложения:

Ответ дал:
0
log(a)b=log(c)b/log(c)a
Ответ дал:
0
a=1/9, c=3
Ответ дал:
0
3^(-1/2)=1/9
Ответ дал:
0
Блин, 3^(-2)=1/9
Ответ дал:
0
Вот спасибо!
Вас заинтересует
2 года назад
3 года назад
3 года назад
9 лет назад