• Предмет: Алгебра
  • Автор: papazovalolita
  • Вопрос задан 8 лет назад

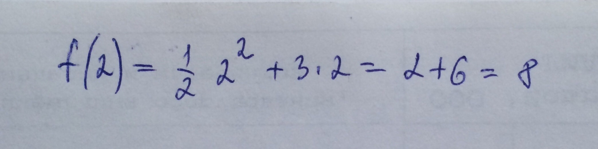
Функція задана формулою.Знайти f(2)якщо f(x)=½ x²+3x
Решите пж

Ответы

Ответ дал: tatnik12
0

підставляєш в формулу значення х = 2

Приложения:
Вас заинтересует