• Предмет: Математика
  • Автор: minikotik740
  • Вопрос задан 8 лет назад

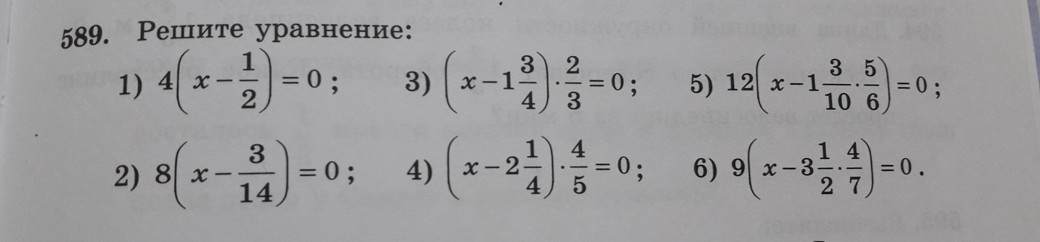
умоляю помогитеномер589. 2,4,6

Приложения:

Ответы

Ответ дал: korhanastasiu3
0

Відповідь:

прюпджь664

Покрокове пояснення:

прат рст 12

Вас заинтересует