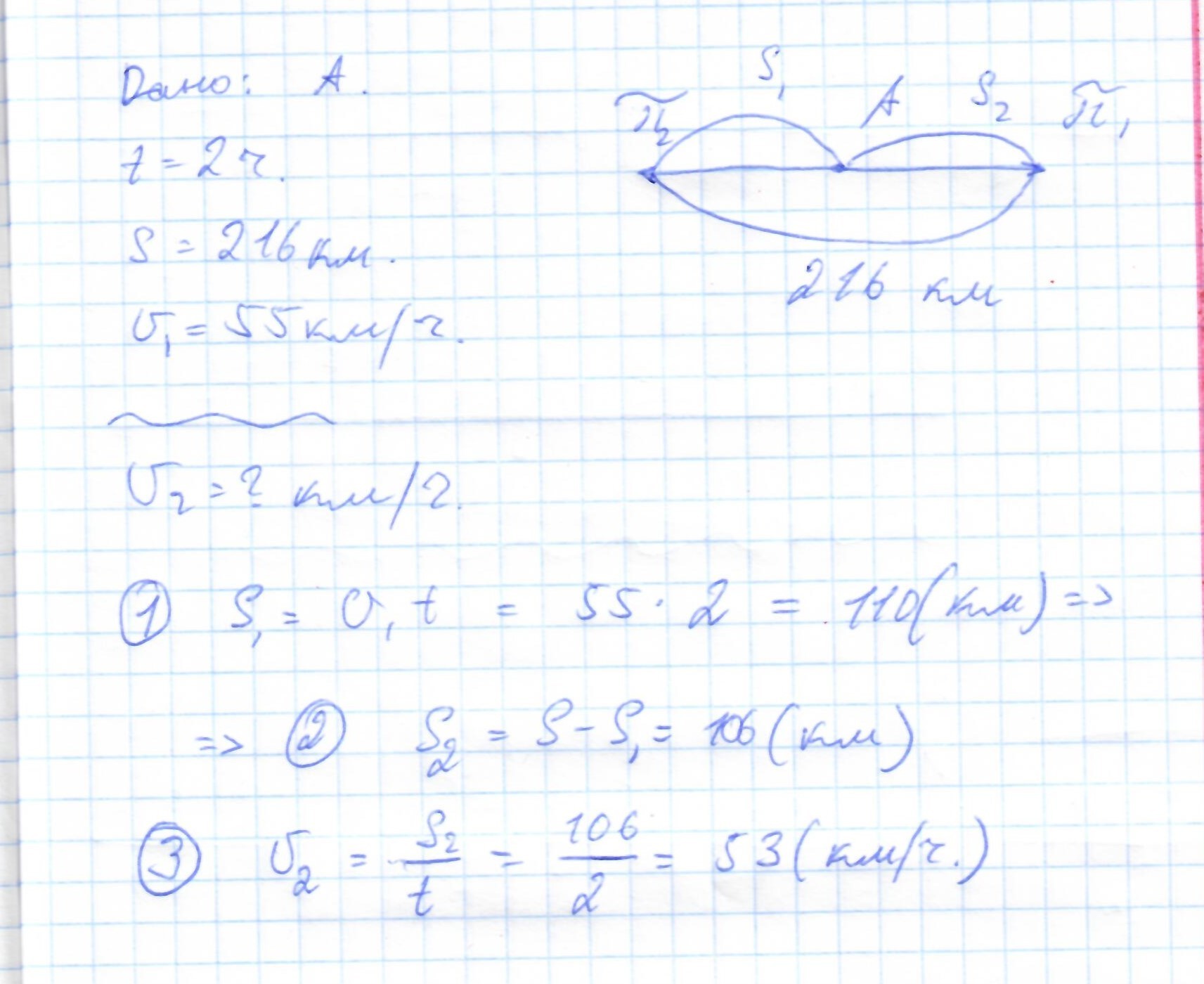
Со станции "Негорелое" одновременно в противоположных направлениях отправились 2 товарных поезда. Через 2 ч расстояние между ними стало 216 км. С какой скоростью шёл первый товарный поезд, если скорость второго - 55км/ч.
Ответы
Ответ дал:
0
Вот решение. Прошу перерисовать рисунок более качественным путем, он у меня слишком схематичный. Для определения V2 сначала запишите S2=V2t и только потом формулу V2=s2/t.
Приложения:
Вас заинтересует
2 года назад
2 года назад
3 года назад
3 года назад
9 лет назад
9 лет назад
10 лет назад
10 лет назад