• Предмет: Математика
  • Автор: maslovaanastasia64
  • Вопрос задан 8 лет назад

Дам много номер744 2 примера распишите пожалуйста до завтра спасибо заранее

Приложения:

Ответы

Ответ дал: tatsach
0

Ответ:


Пошаговое объяснение:

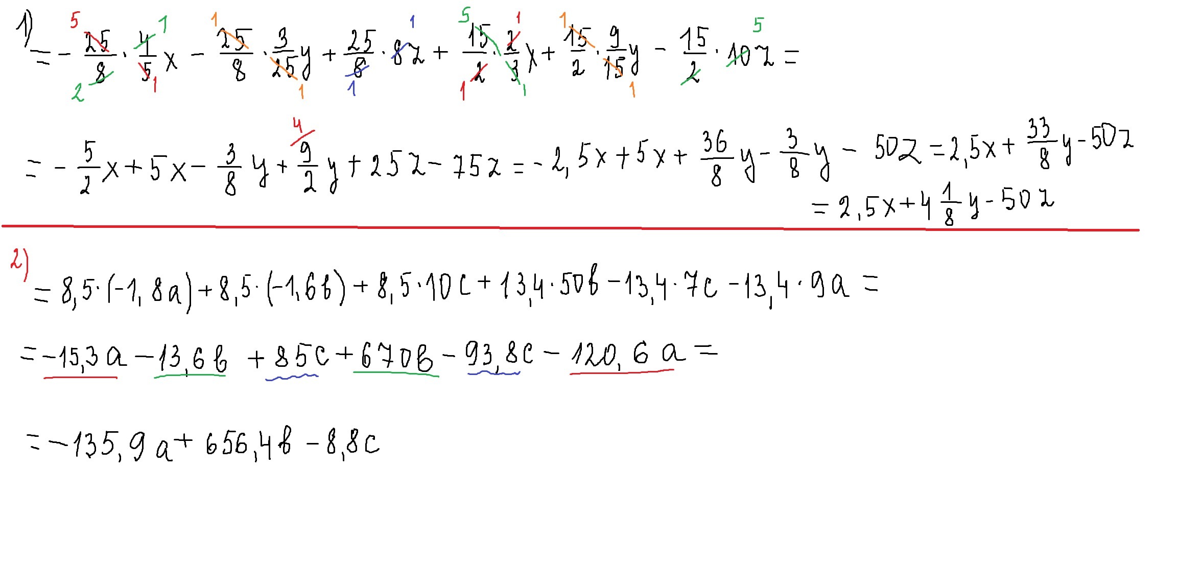
1)=-25/8(4/5x+3/25y-8z)+15/2(2/3x+9/15y-10z)=-2 1/2x-0.375y+25z+5x+4.5y-75z=2 1/2x+4.125y-50z


2)=-15.3а-13.6b+85с+670b-93.8с-120.6а=-135.9а+654.6b-8.8с

Ответ дал: parus77
0

Ответ:


смотри решение внизу


Приложения:
Вас заинтересует