Ответы
Ответ дал:
0
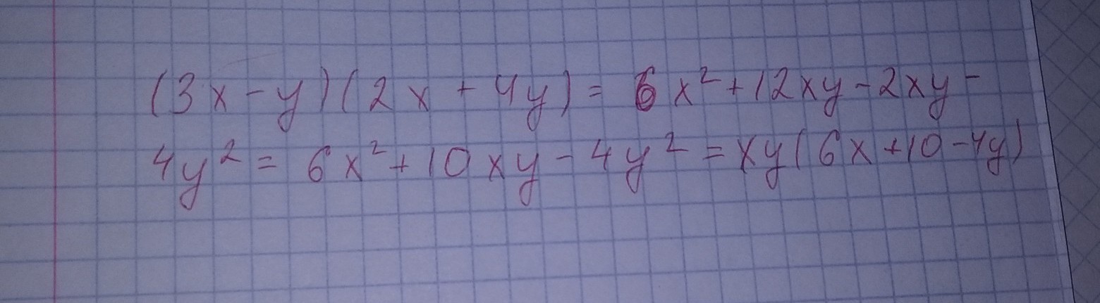
(3x-y)(2x+4y)=6x^2+12xy-2xy-4y^2=6x^2+10xy-4y^2
Ответ дал:
0
если это не уравнение , то тут скорее всего нужно упростить, это будет так:
Приложения:

Вас заинтересует
2 года назад
2 года назад
3 года назад
3 года назад