• Предмет: Математика
  • Автор: dblmkaa54
  • Вопрос задан 8 лет назад

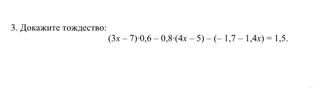
Докажите тождество.Помогите пожалуйста.

Приложения:

Ответы

Ответ дал: alma86
0

1.8x - 4.2 - 3.2x + 4 + 1.7 + 1.4x = 1.5 \ 1.5 = 1.5
Вас заинтересует