• Предмет: Алгебра
  • Автор: Женя3223
  • Вопрос задан 8 лет назад

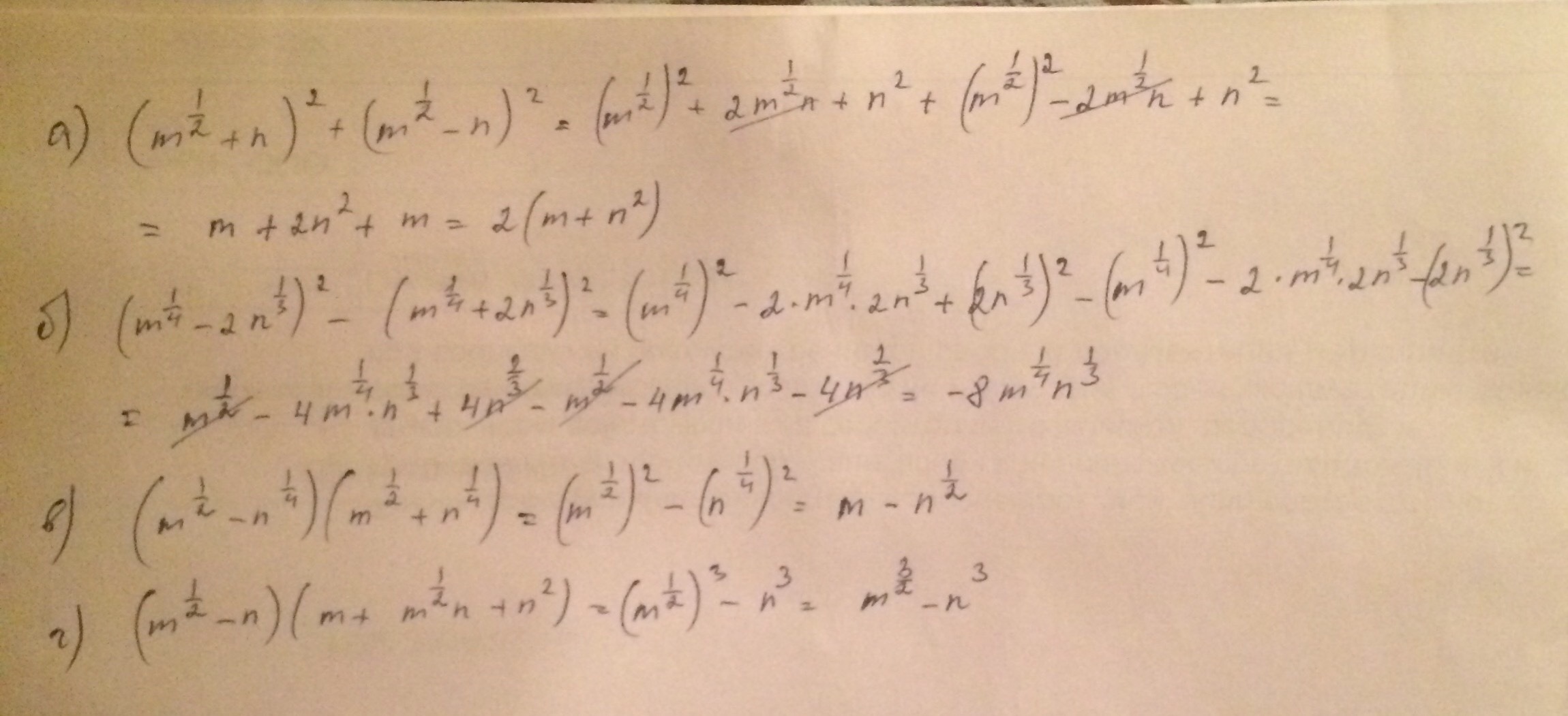
упростите применив формулы сокращенного умножения

Приложения:

Ответы

Ответ дал: tatnik12
0

В а) и б) квадрат суммы и квадрат разности.

В в) разность квадратов

В г) разность кубов

Приложения:
Ответ дал: Женя3223
0
от души, можешь 3 и 4 сделать пж
Вас заинтересует