• Предмет: Алгебра
  • Автор: sseiie21s
  • Вопрос задан 8 лет назад

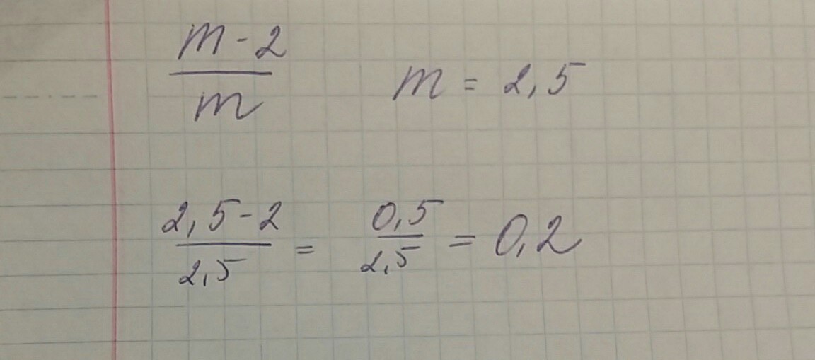
Найдите значение выражения m-2/m,если m=2,5

Ответы

Ответ дал: domashenko04
0

2.5-2/2,5=-5 Типа так

Ответ дал: osipovv
0
Калькулятор в помощь))
Ответ дал: osipovv
0
Ответ во вложении. Не забудьте отметить ответ лучшим и подписаться на меня;)
Удачи!
Приложения:
Ответ дал: nuwka81
0
2,5 не в дроби
Ответ дал: nuwka81
0
отдельно
Ответ дал: nuwka81
0
как целое
Ответ дал: osipovv
0
Рекомендую пересчитать на калькуляторе)) Удачи))
Ответ дал: nuwka81
0
вам удачи)))))))
Вас заинтересует