• Предмет: Алгебра
  • Автор: tatianatatiuna
  • Вопрос задан 8 лет назад

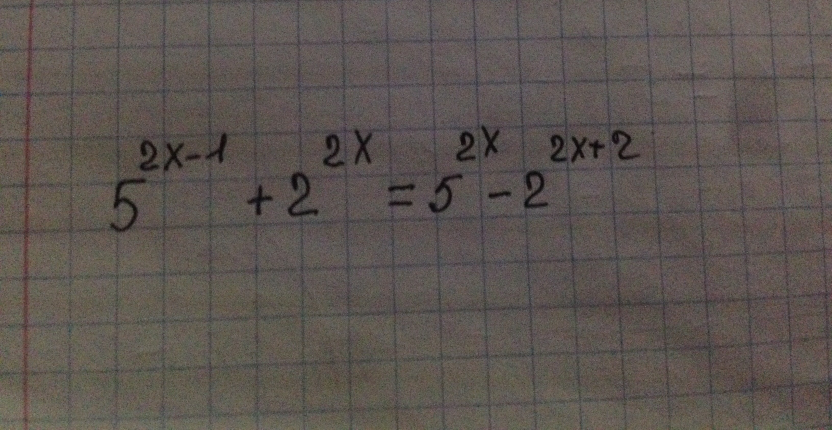
Показательные уравнения
Алгебра 10 класс
24 балла

Приложения:

Ответы

Ответ дал: vahe2907
0

5^{2x - 1} + 2^{2x} = 5^{2x} - 2^{2x + 2}\frac{5^{2x}}5 + 2^{2x} = 5^{2x} - 4*2^{2x}\5*2^{2x} = frac45*5^{2x}\(frac25)^{2x} = frac4{25} = (frac25)^2\2x = 2\x = 1

Вас заинтересует