• Предмет: Математика
  • Автор: ermine76
  • Вопрос задан 8 лет назад

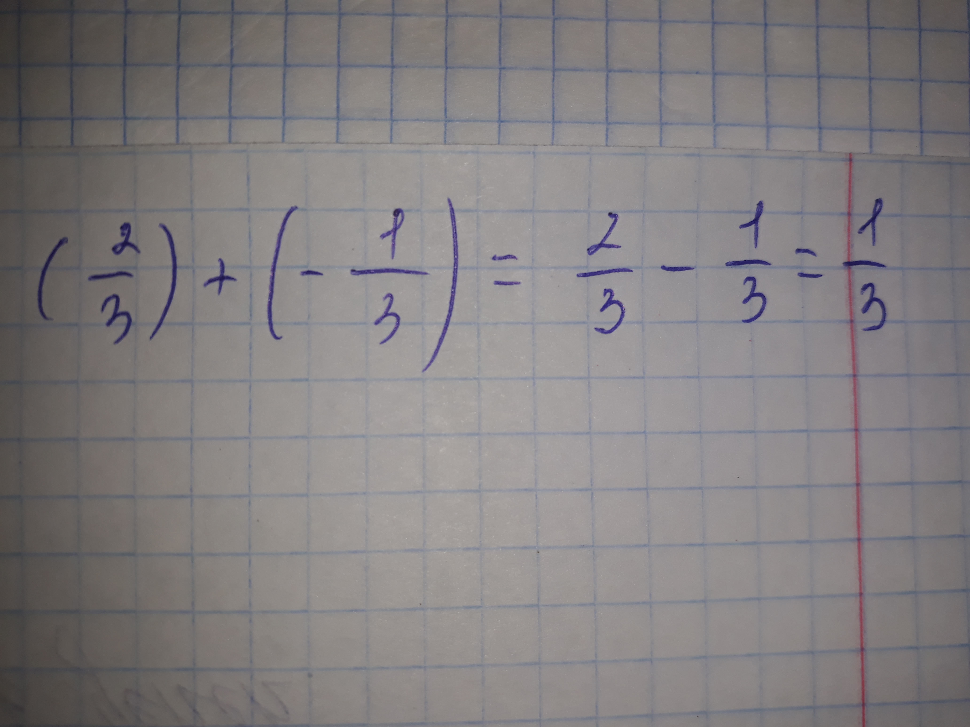
Как решить (2/3)+(-1/3)

Ответы

Ответ дал: HelpMeePleaseee
0

Відповідь:


Покрокове пояснення:


Приложения:
Ответ дал: Yulya058
0
Открываем скобки
Перед 2 скобкой стоит плюс, значит знак в скобке оставляем.
2/3-1/3=1/3
Ответ: 1/3.
Приложения:
Вас заинтересует
10 лет назад