• Предмет: Алгебра
  • Автор: Ferts
  • Вопрос задан 8 лет назад

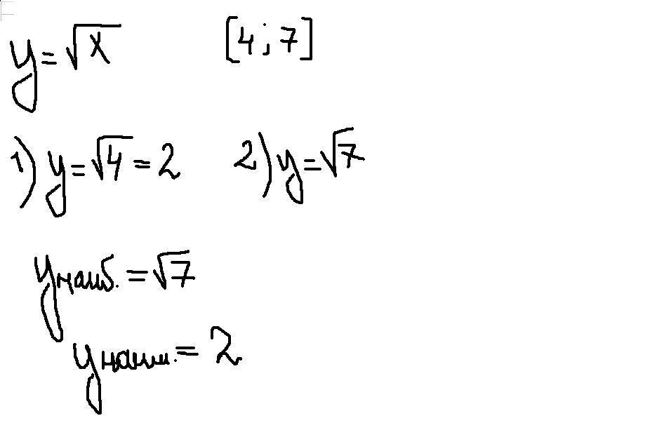
Постройте график функции у=корень из х . С помощью графика найдите: а) наибольшее и наименьшее значения функции на отрезке 4 7 б) координаты точки пересечения графика данной функции с прямой х-2у=0

Ответы

Ответ дал: безимени555555
0

вроде так, только графики подпиши.

Приложения:
Вас заинтересует