• Предмет: Математика
  • Автор: elizafilippova
  • Вопрос задан 8 лет назад

Помогите пожалуйста
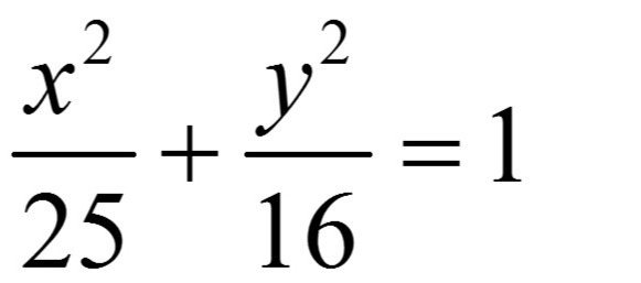
Указать тип кривой второго порядка, найти ее параметры и сделать чертеж.

Приложения:

Ответы

Ответ дал: krolikzajcev
0

1. Эллипс, каноническое уравнение.

2. Большая полуось а=5, малая полуось б=4.

3. Фокусное расстояние с=(25-16):(1/2)=3.

4. Эксцентриситет е=с/а=3/5.

5. Чертеж см. рис.

Приложения:
Вас заинтересует