• Предмет: Алгебра
  • Автор: shvetsova5
  • Вопрос задан 8 лет назад

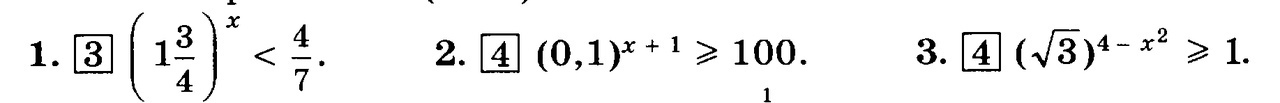
Решите неравенства, пожалуйста, я сомневаюсь правильно ли у меня. хочу сравнить,спасибо заранее)

Приложения:

Ответы

Ответ дал: maksimcat
0

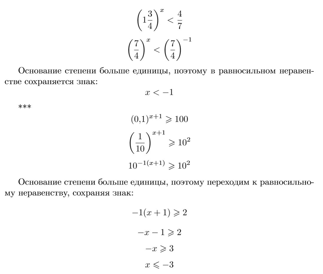
Ответ на фото ///////////////

Приложения:
Ответ дал: genius20
0
Во втором и третьем примере нестрогие неравенства
Ответ дал: maksimcat
0
Спасибо, понял
Ответ дал: shvetsova5
0
спасибо большое, но только, ошиблись, в 3 неравенстве знак больше или равно.
Ответ дал: maksimcat
0
Уже поправил
Ответ дал: genius20
0

Если будут какие-нибудь вопросы — задавайте.

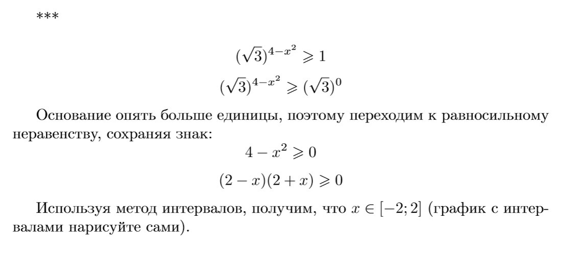
Приложения:
Вас заинтересует