• Предмет: Математика
  • Автор: onofon
  • Вопрос задан 8 лет назад

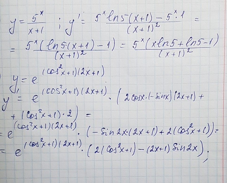
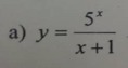
Вычислить производные.

Приложения:

Ответы

Ответ дал: 1233090
0
решение задания смотри на фотографии
Приложения:
Вас заинтересует